주한미육군 군정청, 특별감찰보고서

5‧10선거 실시에 관한 군정청 보고서

Military Government Report on Implementation of May 10 Election
1948-07-22 · 보고일 1948-07-22 주한미육군 군정청 United States Army Military Government in Korea, USAFIK
스캔 원본
100%
p.1
p.460
p.2
p.461
p.3
p.462
p.4
p.463
p.5
p.464
p.6
p.465
p.7
p.466
p.8
p.467
p.9
p.468
p.10
p.469
p.11
p.470
p.12
p.471
p.13
p.472
p.14
p.473
p.15
p.474
p.16
p.475
p.17
p.476
p.18
p.477
p.19
p.478
p.20
p.479
p.21
p.480
p.22
p.481
p.23
p.482
p.24
p.483
p.25
p.484
p.26
p.485
p.27
p.486
p.28
p.487
p.29
p.488
p.30
p.489
p.31
p.490
p.32
p.491
p.33
p.492
p.34
p.493
p.35
p.494
p.36
p.495
p.37
p.496
p.38
p.497
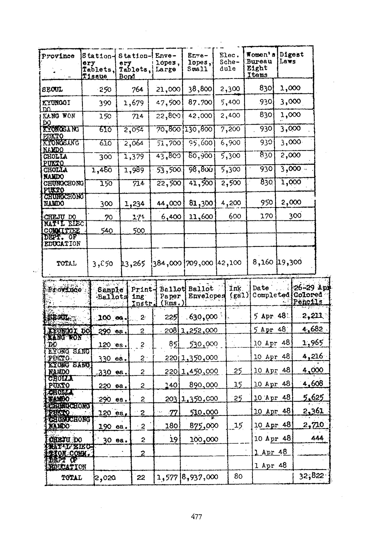
유엔한국임시위원단의 감시 하에 대한민국 국회와 정부 수립을 위한 1948년 5월10일 남한의 선거 실시에 관한 군정청 보고서 제24군단사령부 정치고문관 존경하는 국무장관 각하 유엔한국임시위원단의 활동에 대해 연락장교가 작성한 2급 비밀 보고서 3부를 보낸 1948년 6월 25일의 서울 정치고문관 <급송문서> 제185호에 덧붙여 본인은 1948년 5월 10일 한국의 선거 실시와 관련해 유엔한국위원단의 활동에 관한 주한미군정청이 작성한 ‘대외비’ 보고서 사본 4부를 동봉하게 돼 영광입니다. 또한 이 보고서는 사령관에게 보내는 1948년 7월 10일의 군정장관 비망록 사본 4부를 동봉했습니다. 연락장교의 보고서와 관련해 제안했듯이 여기 송부한 보고서에 포함된 정보는 파리총회에서 한국문제를 처리하는 국무부 관리들에게 도움을 줄 것입니다. 이와 함께 보고서 둘 다 역사적 목적에도 도움이 될 것입니다. 정치고문관 죠셉 제이콥스(Joseph E. Jacobs) 첨부문서: 1. 주한미군정청의 보고서 4부 2. 군정장관이 사령관에게 보내는 1948년 7월 10일자 비망록 사본 4부 <첨부문서> 5‧10선거와 주한미군정청 활동에 관한 보고서 1948년 7월 10일 주한미군정청 군정장관실 제목: 남한 선거실시 보고 수신: 주한미육군사령부 사령관 1. ‘유엔한국임시위원단의 감시 하에 대한민국 국회와 정부수립을 위한 1948년 5월 10일 남한의 선거 실시에 관한 군정장관 보고서’라는 제목의 보고서 17부를 첨부합니다. 2. 한국인들은 정상적인 상황 아래서 가장 민주적인 전통에 따라 공정하고 정직하며 효율적인 선거를 할 능력이 있다는 것은 의심의 여지가 없습니다. 5‧10 선거 기간 남조선과도정부와 중앙선거관리위원회, 산하위원회 관리들의 행정과 조직능력은 모두 높았습니다. 공산주의자들과 선거를 저지하고 사람들을 혼란에 빠뜨리려는 반대세력의 시도는 대체적으로 효과가 없었습니다. 3. 첨부된 보고서는 남조선과도정부의 미국 고문관들과 각 도에 있는 민정장관들의 지도력과 열정, 기술적인 지도를 보여줍니다. 이들은 집행과 정책수준 면에서 선거가 성공적으로 실시되는데 상당히 기여했습니다. 물론 이런 이야기가 선거기구 자체의 행정과 조직에 있어서 한국인들 훌륭한 업적을 손상시키는 것은 아닙니다. 4. 주로 이번 선거에서 미국 관리들의 중요한 역할 때문에 첨부된 보고서는 ‘대외비’로 분류됐습니다. 국제적인 측면에서 보면 현시점에서 공공연히 지나치게 미국의 참여를 강조하는 것은 현명하지 않습니다. 5. 중앙선거관리위원회는 선거위원회와 산하 위원회, 관리들이 맡은 부분에 대한 보고서를 준비하고 있습니다. 번역되는 대로 개별적으로 영어 복사본을 제출할 것입니다. 이 보고서는 남한의 공공목적에 맞아야 합니다. 군정장관 소장 윌리엄 딘(William F. Dean) <첨부문서> 선거결과 보고 목차 서문(序文) I. 준비국면 (중략) 1) 선거 소요경비 중앙선거관리위원회로부터 투표소 대여와 지방홍보 유인비, 운송수단 등의 경비 그리고 도별 배분액 등 모두 1억 2,276만원의 자금을 요구받았다. 군정장관과 중앙선관위가 여러 차례에 걸쳐 협의해 이 금액을 2,800만원으로 삭감해 승인했다. 이 금액은 도별 배분액으로 나눠졌으며, 이들 배분금액을 처리할 지령이 작성돼 4월 15일 발표됐다. 이 지령에 포함된 강력한 내용은 더 이상의 추가 자금 배분은 없을 것이라는 것이며, 지출을 줄이기 위해 모든 관련 정부자원을 활용해야 한다는 것이다. 최종 예산은 8억 5,179만 8,000원이다. 선거경비 예산 도별 및 서무처 배당액 2) 선거일정과 선거법 및 규칙 채택 a. 선거일 결정 ⑴ 1947년 11월 14일 유엔 결의안 제2의 제2항목에는 “선거는 1948년 3월 31일 이전에 실시한다”고 돼 있다. 이 날짜에 선거실시가 불가능할 것이라는 것은 유엔한국임시위원단이 서울에 도착하기 이전에 이미 인식하고 있으며 최종기한 준수 여부에 대해 미국 당국과 아무런 논의가 없었다. ⑵ 파종기 영향: 1월19일에 미군 연락장교는 농무부가 유엔한국임시위원단에 보내는 ‘춘기 농업달력’을 보냈다. 그리고 “농업의 견지에서 5월 첫째주는 선거가 실시돼야 하는 최종시기로 제시됐다”는 주석도 덧붙였다. 미군 당국과 유엔한국임시위원단은 파종기가 선거일 확정에 가장 영향을 미치는 것으로 인식했다. 피트루스 슈미트 사무국장은 2월 20일 미 연락장교에게 “한국에 처음 도착했을 때 파종계획이 있는 달력을 받아 무척 기뻤다”고 밝혔다. 이것은 무엇보다 일을 추진하는데 도움이 됐다. 3월 1일까지 무엇인가 결정을 내려야 하는 대표들을 확신시키는데 필요로 하는 바로 그것이었다. ⑶ 선거의 조기실시는 경기도와 강원도의 춘기 파종을 방해했었을 것이다. 또 선거를 늦게 실시하는 것은 더 남쪽 지방의 춘기 파종과 북쪽 지방의 이묘에 영향을 주었을 것이다. 벼의 초기 파종과 이에 따른 이묘는 일정과 매우 밀접해야 하므로 선거실시의 적정 시기는 의심의 여지없이 선거의 성공과 직결된다. 시기의 적절성과 선거 자체에 최소한의 소요만 발생했기 때문에 일반 농사생활에는 약간의 방해만이 있었다. 제주도의 어로활동이 가장 큰 영향을 받아 평소의 30~40%의 어획고를 올리는데 그쳤다. ⑷ 실제 선거실시 날짜 선택은 유엔한국임시위원단과 미군 사령부간에 신중하게 조정해 나갔다. 미군 당국이 특정 일자로 5월 9일을 선택할 것이라는 이해에 맞춰 1948년 5월 10일 이전에 선거를 치르자는 합의가 2월 29일 이뤄졌다. 그러나 그와 동시에 미군 연락장교는 유엔한국임시위원단의 사무국장인 슈미트에게 미군 당국이 선거준비에 반드시 필요한 선거법과 규정에 관해 유엔한국임시위원단의 논평을 신속하게 받는 조건으로 이 날짜를 선택하는 것이라고 경고했다. (중략) II. 선거등록 및 선거 1) 서울과 지방의 선거등록 및 선거 (중략) ⑴ 제주도 골육상쟁의 오랜 모습을 보여온 제주도에서 공산주의자들은 선거를 파탄내기 위해 최대의 노력을 기울인 것이 확실했다. 훈련받은 선동가들과 특수무장대들이 가능한 한 선거등록과 투표를 방해하고 중지시키기 위해 다른 지방에서 제주도로 파견됐다. 제주도의 사상자 수는 상당했다. 1948년 2월 7일 시작해 5월 14일까지(공산주의자들의 파괴활동은 제주에서 감소 추세를 보이면서 여전히 계속되고 있다) 공산주의자들의 파괴활동에 따른 수치는 다음과 같다. 선거관리 위원 - 사망 4명(다른 어떤 지방보다 많다) 경찰 - 사망 12명, 부상 25명(전국에서 두 번째로 높다) 경찰가족 - 사망 6명, 부상 3명(전국에서 최다) 이와 함께 공산주의자들의 무차별 공격으로 42명이 숨지고 60명이 부상을 입었다. 공산주의자들은 주로 일본제 무기로 잘 무장돼 있고 섬의 산간지역은 훌륭한 은닉장소와 마을 습격을 위한 발진기지 역할을 했다. 선거관리위원과 유권자들 모두에게 상당한 위협이었다. 투표소를 완전히 파괴하는 경우도 있는데 특히 북제주군에서 심했다. 어떤 경우에는 모든 마을주민들이 선거 당일 자발적이거나 강요에 의해 떠났다. 공산주의자들에 의한 활발한 활동에도 불구하고 비교적 훌륭한 결과가 나왔다. 제주도의 3개 선거구(북제주군 2개 선거구와 남제주군 1개 선거구)에서 69.8%가 등록했고 실제 등록 유권자의 86.6%가 투표했다. (<첨부문서> 제55호) 그러나 북제주군의 투표율은 남한의 어느 지역보다도 낮았다. (<첨부문서> 제54호) 제주도의 현재 상황을 고려해 군정장관은 중앙선관위의 권고를 받아들여 북제주군의 2개 선거구에서 실시한 투표를 무효화했다. 이들 지역의 선거는 무기한 연기됐다. (미군 참관인의 상세한 보고서는 <첨부문서> 제46호를 참조할 것) ⑵ 수석고문관 및 주한미군정청 연락장교 보고서(수석 고문관 대리 센터(Wm. F. Center) 대령과 연락장교 찰스 더피(Charles G. Duffy) 중령) 주한미군정청과 남조선과도정부의 책임내에서 다양한 총체적인 조처사항을 조정한 남조선과도정부 수석고문관실의 보고서는 <첨부문서> 제47호에 첨부돼 있다. 더피 중령을 통해 이 사무실은 미 연락장교와 유엔한국임시위원단 사이의 연락, 유엔한국임시위원단과 중앙선거관리위원회의 연락매개체 역할을 했다.(선거일 투표와 기타 선거활동 사진은 <첨부문서> 제47A-47O호 참조) 2) 선거저지와 방해를 위한 공산주의자들의 시도 a. 공산주의자들은 1948년 2월 7일부터 남한의 5‧10 선거를 저지하고 방해하는 한편 유엔한국임시위원단의 한국에서의 철수를 위해 강력하고 광범한 노력을 기울였다. 이러한 노력은 살인, 방화, 폭력, 파업, 시위, 뇌물, 폭동 및 혁명 선동, 위협, 선전으로 나타났다. 이런 모든 활동은 북한에서 계획됐고, 보로실로프(동시베리아 군사령부)와 모스크바로부터 지시를 받았다는 것은 의심의 여지가 없다. b. 2월 7일 시도된 총파업과 이에 따른 소요와 폭동은 5‧10선거 반대 전체 계획의 전주곡이었다. 공산주의자들은 거의 최대의 노력을 기울였으나 이런 시도는 일반적으로 실패했다. c. 북한의 평양라디오방송은 이런 활동의 주요 공식 구호를 발표하였다. “미소 군대는 즉각 철수해야 한다” “5‧10선거는 조선의 영구분단을 의미한다” “미국은 제국주의 계획의 일환으로 조선을 식민지화하려고 하고 있다” “친일파와 민족반역자들은 파멸돼야 한다” 공산주의자 요원들이 퍼뜨린 부수적인 선전활동은 다음과 같다. ⑴ 조선인민공화국은 이미 북한에 수립됐다. ⑵ 남한의 국가방어력이 취약한 반면 북한에는 수천명의 병력을 가진 군대가 창설됐다. ⑶ 김일성(북한 공산주의자 지도자)은 단기간에 무력으로 남한을 점령할 것이다. ⑷ 실제 취해진 조처는 다음과 같다: “인민들이 불안한 지금 기회를 잡아라. 그리고 경찰관과 우익 지도자들을 죽이고 경찰서를 공격하라. 인민들에게 총선거를 반대하지 않으면 반역자로 처벌받을 것이라고 말하라” d. 집회에서는 ⑴ 유엔위원단의 탄핵 ⑵ 양쪽 점령군의 철수 주장 ⑶ 인민들에게 정치권력 이양 요구를 하면서 폭동과 소요를 선동했다. 여성들은 식량을 요구하기 위해 행정기관에 파견될 것이다. 이들은 식량을 훔쳐 인민들에게 배분할 것이다. 경찰과 대동청년단이 집회를 방해하면, 공산주의자들은 완전히 그들을 분쇄하게 돼 있다. 인민들이 정부기관과 공공기관을 습격하려 하면 지도자들은 책임을 모면하기 위해 사라져야 하지만 습격은 중지돼서는 안 된다. 평화와 질서를 마비시키기 위해 투쟁은 계속될 것이다. e. 위의 시도와 관련해 특별지령이 발표됐다. ⑴ 선전활동과 습격, 파괴하기 위해서는 다른 지역 사람들이 활용돼야 한다. ⑵ 지도자들은 가난한 농민이거나 1948년 2월 7일의 투쟁에서 ‘혁명정신’을 보여준 사람이라야 한다. ⑶ 국방경비대에 뇌물을 주거나 경찰과 충돌하도록 유도해야 한다. f. 공산주의자들의 노력이 잘 계획되고 활발하게 추진됐음에도 불구하고 선거는 남한 대부분의 지역에서 조용하고 효율적으로 치러졌다.(제주도와 남부지방, 특히 제주도에서는 공산주의자들이 선거를 중단시키고 혼란을 야기하는 한편 혁명을 일으키기 위해 대규모 노력을 기울였다.) 선거가 치러진 주말인 5월 8~10일 동안 공업과 통신시설에 대한 사보타주, 파업 등을 포함해 투표소 57곳이 습격을 받았고 후보자 1명이 부상을 입었으며 경찰관 7명과 선거관리위원 5명이 죽었다. 그러나 2월 7일부터 5월 14일까지 공산주의자들의 전체 투쟁기간의 사상자수는 이보다 많았다. (상세한 집계는 <첨부문서> 제48호를 참조할 것) 제주도의 도민불화와 고립된 환경 덕분에 공산주의자들은 제주에서의 선거를 저지하는데 확실히 성공했고 이는 군정장관으로 하여금 새로운 선거를 명령하도록 했다. 공산주의자들은 제주도에서 강력한 시도를 기울였으며 분명히 다른 지방과 북한으로부터 많은 훈련받은 선동가들과 다량의 무기와 탄약을 들여왔다. 이런 시도는 계속되고 있고 공산 라디오방송에서는 아마도 제주도를 ‘동양의 그리스’로 취급할 것이다. g. 선거에 있어 조용하게 영향을 미친 것 가운데 하나는 남조선과도정부의 승인으로 조직된 ‘향보단’이었다. 향보단은 예상되는 공산주의자들의 선거저지와 방해를 저지하기 위해 유일하게 조직됐다. 남자로 구성된 자경단 형태의 이 조직은 시민들과 청년단체 회원들로 구성됐으며 곤봉으로 무장했다. 이 조직은 1948년 5월 22일 군정장관의 승인에 따라 남조선과도정부 민정장관 안재홍에 의해 해산됐다. 비록 (불가피하게) 일부 향보단원의 과잉행위들이 약간 보고되기는 했으나 이 조직은 좋은 목적을 가지고 봉사했다. h. 국방경비대(고문관 로버츠 준장 제공) ⑴ 모든 국방경비대는 가능한한 작전과 즉각적인 출동을 위해 경계태세에 들어갔다. ⑵ 모든 미국인 고문관들은 자신이 배정된 부대와 함께 1948년 5월 8일 오후 6시부터 5월 12일 오후 6시까지 직접 현장에 있도록 지시받았다. 다른 지령은 무기와 탄약을 보호하도록 지시받았다. 미군 당직장교는 5월 8일 오전 8시부터 5월 12일 오후 6시까지 주야로 이 사령부에 있었다. 현장의 미국인 고문관들은 각 도의 민정장관과 연락체계를 갖췄다. 그들은 여러 지방에서 특별보호를 위해 국방경비대를 소집했다. ⑶ 22개 소대는 여러 형무소를 보호하기 위해 경계에 들어갔다. 그리고 경계하도록 지정된 형무소와 가까이 있지 않은 부대는 형무소 근처로 더 가까이 이동하지는 않았으나 여전히 비상상태에 있었다. ⑷ 국방경비대는 또 수력발전소 4곳과 화력발전소 4곳에 대한 경비책임을 맡았다. ⑸ 제4연대의 4개 소대는 보안을 이유로 고립된 지역에 파견됐다. ⑹ 제주도에서는 국방경비대가 투표함 보호를 지원했다. (중략) 조직표 1.남조선과도정부 2. 주한미육군사령부 군정청 <첨부문서>: 남한 총인구와 유권자 수 1948년 4월 1일 현재 남한 총인구(한국인) 1948년 남한 총선거 등록유권자 대상과 실제 등록유권자수 1/ 선거가 무효처리된 북제주군 지역 제외 <첨부문서> 제6B호: 종이공급에 관한 임시 통제 1948년 1월 8일 남조선과도정부 제목: 종이공급에 관한 임시 통제 수신: 상무부 고문관 및 부장, 행정처 고문관 및 처장 1. 종이 약 400여톤이 이번 유엔 감시하의 총선거용으로 비축될 때까지 모든 종이의 수입과 이에 따른 남한의 적산공장에서 생산된 보급품들은 행정처를 통하여 유통되어야 함을 지시한다. 행정처가 필요한 종이량을 모으면 추가 전환의 종료를 상무부에 알릴 것이다. 2. 지방의 수요를 충족시키기 위하여 때때로 서무처가 비축중인 종이를 공급할 필요가 있을 경우 중앙경제위원회의 명령에 따라 공급이 이루어질 것이다. 사령관의 지시에 의하여 부군정장관 미육군 준장 헬믹(C.G.Helmick) <첨부문서> 제7호: 투표용지 인쇄 지시 1948년 4월 7일 비상전력위원회 비상전력 명령 제6호 1. 1948년 4월 14일부터 1948년 5월 10일까지 각 도의 민정장관들이 지정한 인쇄시설의 전력사용은 다가오는 선거에서 사용할 투표용지 인쇄를 최우선 순위로 한다. 2. 민정장관들에게 가능한 한 빨리 투표용지를 인쇄할 시설을 전력회사 대표들에게 알릴 것을 지시했다. 비상전력위원회 위원장 월키(A. C. Walkee) <첨부문서> 제9호: 선거관련 물자 지방에 전달된 각종 선거관련 물자수량 <첨부문서> 제36호: 미군 요원이 감시한 선거절차 1948년 4월 1일 주한미군정청 사령부 제목: 미군요원이 감시한 선거절차 수신: 전 민정장관 1. 각 민정장관은 각 관할 내에서 선거절차를 지속적으로 감시하는데 직접 책임이 있다. 이 감시는 2단계로 나눠진다. a. 1단계 - 선거 이전 감시 ⑴ 민정장관들은 현재 활용 가능한 장교와 동급의 군무원을 활용해 다음과 같은 지속적인 감시를 해야 한다. ⒜ 일반인들에게 선거정보 홍보 ⒝ 선거운동 방법, 계획, 정강, 선거민 위협을 포함한 선거에 참여하는 정당, 단체, 청년조직 등의 활동 ⒞ ⒝와 같지만 선거를 반대하는 사람들에게 적용됨 ⒟ 투표구, 면, 군, 선거구, 도 선거위원회의 운영 ⒠ ⒟에 나와있는 모든 단계를 포함한 전술한 시기의 선거등록 절차에 대한 지속적인 조사 (참조: 선거법 제15조 및 제16조) ⒡ 선거인 등록이 끝난 뒤 선거법 제15조와 제16조의 이행에 대한 조사 b. 2단계- 선거일과 투표명부 ⑴ 각 민정장관들은 현재 활용 가능한 장교 및 그 동급 군무원 뿐만 아니라 주한미군정정청 사령관이 배치할 추가 인원도 활용해 다음을 지켜야 한다. ⒜ 각 선거구의 2명의 감시요원들은 전선거구의 투표구에 대한 개별적인 현장조사(참조: 선거법 제30~40조) ⒝ 각 도별 선거위원회에 1명의 감시요원(선거법 제30~40조) ⑵ b.⑴⒜와 같은 감시요원들은 선거종료와 함께 선거구 선거관리위원회에 보고하고, 투표함 개함과 투표명부 등을 감시해야 한다.(참조: 선거법 제41~46조) 2. 각 민정장관은 위에 언급된 1, 2단계에서 어느 정도 각 투표구를 방문하려는 노력을 기울여야 한다. 3. 각 도별 정확한 감시일지가 마련돼야 한다. 선거가 끝난 뒤 일지는 도별로 통합하고 군정청에 전화로 보고해야 한다. 4. 미군요원들에게 선거절차 운영에 개입하지 말도록 지시했다. 선거법이나 선거규칙을 위반하거나 불일치할 경우 선거위원회 위원장(또는 대표)은 관심을 가져야 한다. 이와 같은 위반 등의 보고서는 차상급 선거위원회와 민정장관이 관심을 가져야 한다. 미육군소장 사령관 딘(Dean) <첨부문서> 제46호: 군정청의 제주도 선거 감시 남조선과도정부 체신부 군정청 선거감시반의 일반 감시-제주도 작성: 스피어(Speer) 대위, 테일러(Taylor) 대위, 번하이젤(Bernheisel) 중위 1. 명령에 따라 수석고문관실의 위에 언급한 장교들은 1948년 5월 5일 오전 10시 서울을 출발해 같은 날 오후 3시 제주에 도착했다. 제주도 민정장관은 이들이 맡을 지역을 5월 6일 배정했다. 현지 선거관리위원들이 마련한 계획에 따라 제주도는 2개 선거구(3개 선거구의 오기 : 역주)로 나뉘어졌다. 산북에 1개 선거구가 있고, 산남에는 2개 선거구가 있다. 2. 번하이젤 중위는 감시지역으로 구좌면에 배치됐고, 제59군정중대의 켈리(Kelly) 대위는 조천면에 배치됐다. 이들 지역은 모두 제주도의 북동쪽에 있다. 5월 7일 이들 2명의 장교는 하루 종일 자신들이 맡고 있는 지역의 투표소를 방문했다. 투표용지는 각 면사무소로 전달됐다. 선거 이전의 2개 면 감시결과는 서로 완전히 대조됐다. 조천면장은 규정된 선거절차에 대해 희망이 없는 혼란상태에 빠진 것으로 보였다. 면장은 면을 조직하는데 아무 것도 하지 않은 것으로 보였다. 향후 사태진전과 수집된 이에 따른 정보는 이 지역을 덮고 있는 단순이유로 다가왔다. 간단하게 말하면 이 면은 파괴분자들에 의해 완전하게 장악된 것으로 보인다. 선거 전날 밤 선거반대 삐라가 면의 곳곳에 뿌려졌다. 도로장애물이 설치되고, 많은 지역의 전화선이 절단됐다. 선거당일 이 면은 빵점으로 나타났다. 반면 조천면의 바로 동쪽인 구좌면은 매우 훌륭하게 선거준비가 이뤄졌다. 여러 투표소 현지조사와 지역 선거관리위원들과의 대화는 5월 10일의 성공적인 투표결과에 대해 확실한 자신감을 보여줬다. 면장은 놀라울 정도로 업무를 추진하고 있으며, 구좌면의 성공적인 선거과정을 확신했다. 선거일 전날 저녁 오름의 간선도로 뒤쪽에 위치한 제8투표소(구좌면)와 그 주변에서 일어난 특정 돌발상황 때문에 투표가 이뤄지지 않았다. 그렇지 않았더라면 면 전역에서 완벽한 투표기록을 보였을 것이다. 이곳에서는 많은 주택이 불에 타고 2명이 숨진 것으로 보고됐다. 투표함을 잘 감춰놓아 파손되지 않았지만 5월 10일에는 이곳에서는 투표를 하지 않았다. 3. 구좌면의 선거전 단계를 요약하면 ‘국회의원 선거 이행 규칙’에 지시된 모든 조건과 일치함을 보여줬다. 즉 ⑴ 선거정보가 광범하게 홍보돼 온 것으로 보인다 ⑵ 투표용지와 투표함이 선거일 전에 충분한 시간 안에 전달됐다 ⑶ 자체 경비가 잘 조직됐고 질서유지 차원에서 경찰을 지원하기 위해 옆에 서있다 ⑷ 벽보가 눈에 띄게 잘 전시됐고 대부분의 경우에는 후보들의 사진이 각 투표소에 게재돼 있다. 그러나 조천면의 선거전 단계는 위에 언급한 이유 때문에 위의 조건들이 거의 완전히 결핍된 것으로 규정됐다. <첨부문서> 제46A호: 제주도 선거감시 보고 남조선과도정부 체신부 선거감시보고-제주도 1. 본인은 1948년 5월 10일 실시하는 선거감시를 목적으로 1948년 5월 5일 오후 3시 제주도에 도착했다. 2. 제주도 민정장관은 1948년 5월 6일 투표구 배치를 했다. 애월면과 한림면, 추자면이 보고담당 장교인 스피어(Speer) 대위에게 할당됐다. 3. 1948년 5월 7일 애월면과 한림면을 방문했고 다음과 같은 사항을 감시했다. a. 제주에서 서쪽으로 5마일 정도 떨어진 곳에서 도로장애물을 마주치자 차량 통행을 위해 치웠다. b. 그곳에서 약 1.5마일 정도 더 나가자 첫 번째 마주쳤던 장애물보다 작은 도로장애물이 나타났다. 파괴적인 내용을 담은 많은 삐라들이 이 지역에서 돌틈과 여기저기 산발적으로 흩어져 발견됐다. 이들 삐라 가운데 일부가 수거됐고 제주도 민정장관에게 넘겼다. 도로장애물을 치운 뒤 시찰이 재개됐다. 도로장애물 다음에 바로 나타난 2개 마을 주민들이 산으로 도피한 사실이 확인됐다. 다음 마을에서 소규모 경찰분견대는 저격수들이 사격을 가해왔다고 보고했다. 이 마을 주민들은 집에 남아 있었다. 더 이상 도로장애물은 없었으나 삐라는 도로를 따라 여러 곳에서 발견됐다. 애월마을(리)은 경찰과 경비대가 면내에 있어 거의 정상을 유지하고 있었다. 투표구 선거위원회는 모든 투표함을 받았으며 일요일인 1948년 5월 9일 배분할 것이라고 보고했다. 5월 8일, 다음날 갖고 올 투표용지 보호를 위해 현지 경찰과 경비대가 배치됐다. 한림면 방문에서는 파괴활동이 없었다고 보고했다. 4. 1948년 5월 8일, 투표용지와 연필, 벽보, 기타 서류 등이 묶음으로 투표구 선거위원회에 전달됐다. 도로장애물과 삐라가 다시 발견됐으며 경찰은 소총과 기관총 사격을 보고했다. 어려움은 없었고 투표용지는 애월과 한림면의 위원회에 전달됐다. 그러나 추자면의 투표용지는 직접 제주에서 해안경비대 순시선으로 전달됐으며 개표를 위해 한림면으로 돌아올 예정이다. 5. 1948년 5월 9일. 투표함과 투표용지 배분상황을 조사하기 위해 애월면과 한림면을 방문했다. 애월 바로 동쪽의 보호되지 않은 마을의 모든 투표용지와 투표함이 투표구 선거위원회로 되돌아왔다. 이유는 주민들이 파괴분자들에 의해 산으로 내몰렸기 때문이다. 경찰 분견대와 경비대가 있는 애월 바로 인근 지역과 마을에서는 투표함과 투표용지 배분이 정상적으로 진행됐다. 6. 1948년 5월 10일. 투표가 계획대로 시작됐으나 등록 유권자의 32%만이 애월면에서 투표에 참가했다. 한림면은 이보다 높은 전체 등록 유권자의 70% 정도의 투표율을 보였다. 애월 인근의 1곳과 한림의 2곳 등 모두 3곳의 투표소를 방문했다. 투표와 투표절차는 위원회의 지시에 따라 정상적으로 이뤄지고 있었다. 늑장을 부리거나 선거운동을 하거나 또는 괴롭히는 유권자들은 관찰되지 않았다. 투표소는 정해진 시간에 폐쇄됐고 투표함은 즉시 개표하기 위해 한림의 선거위원회로 급송됐다. 한림의 투표함들이 도착하자 개표가 시작됐고 밤새 계속됐다. 추자면의 투표함은 해안경비대 순시선을 이용해 한림항으로 보내져 1948년 5월 11일 오전 10시께 도착했다. 이들 투표함은 즉시 추자 선거위원들이 동승한 지프를 이용해 한림 선거위원회로 급송됐다. 모든 투표함의 개표는 1948년 5월 11일 오후 8시 완료됐고 보고서는 제주의 중앙선거위원회로 보내졌다. 7. 1948년 5월 12일. 제주도의 중앙선거위원회로 모든 투표함을 옮기기 위해 한림을 방문했다. 이번 방문에서도 또 도로장애물이 발견됐으나 애월 동쪽 마을주민들이 마을로 돌아온 사실이 주목됐다. 어디에 있었냐고 묻자 산에 있었다고 대답했고 더 이상 말하지 않았다. 8. 제주의 투표구에 대한 추가방문은 없었다. 9. 1948년 5월 15일 오후 5시 서울 도착 스피어(T. J. Speer) 대위 <첨부문서> 제46B호: 제주도 선거감시 보고 남조선과도정부 체신부 선거감시보고- 제주도 작성: 허버트 테일러(Herbert W. Taylor) 대위 1. 조지 위벨(George Wibel) 중위와 윌리엄 사보티(William Sabotay) 중위, 그리고 본인은 1948년 5월 10일 실시하는 선거 감시지역으로 제주도 남제주군에 배치됐다. 임무 수행을 위해 지프 1대와 3/4톤 트럭 등 차량 2대와 운전사 2명, 통역사 3명이 배당됐다. 2. 이 계획을 수행하기 위해 우리는 2개 반으로 나눴다. 제1반은 사보티 중위와 운전사, 통역사로 구성돼 지프를 이용해 섬의 서쪽 도로를 따라 갔으며 제2반은 위벨 중위와 본인, 운전사, 통역사는 동쪽 도로를 따라 가며 군의 여러 본부에 투표용지를 배분했다. 제2반은 서귀포에 본부를 설치했고, 제1반은 선거전과 선거 기간에 모슬포에 본부를 설치한 뒤 투표함이 오면 선거 당일 저녁 서귀포에서 제2반과 합류하기로 했다. 3. 1948년 5월 8일 오전 8시 30분. 양쪽 반은 계획대로 출발했다. 1948년 5월 8일 오후 1시 30분. 제2반은 서귀포에 도착해 여관에 숙소를 정했다. 투표용지가 배분됐다. 우리가 방문했던 군 본부의 선거관리위원들은 선거기간에 어떠한 충돌도 없고 예상되지도 않는다고 말했다. 모든 투표용지와 연필, 서류 등이 계획대로 배분됐다. 4. 1948년 5월 9일. 위벨 중위는 인근 지역의 여러 선거사무소를 방문했다. 본인은 본부에 남았으며 이날 아무런 문제가 발생하지 않았다. 5. 1948년 5월 10일. 차량부족으로 차량 1대만이 운행할 수 있어서 위벨 중위는 서귀포 인근 교외의 투표구를 방문하기 위해 오전 6시 30분 출발했다. 이 시간에 본인은 서귀포의 적당한 2개 투표구를 감시하기 위해 떠났다. 제1투표구는 오전 6시 50분에 감시했다. 투표함은 선거관리위원들이 검사했고, 규정에 따라 비어있었다. 투표는 오전 7시 시작돼 규정에 따라 진행됐다. 후보자들 가운데 1명의 후보만이 그 시간에 나타났다. 오전 7시 30분에 본인은 서귀포의 제2투표구를 방문했는데 이곳도 규정에 따라 선거가 이뤄졌다. 사실 본인은 이 지역의 선거가 매우 잘 진행되리라 생각했다. 이날 나머지 시간에도 본인은 걸어서 2개 투표구를 방문했으며 선거 당일 동안 이들 투표구는 잘 진행됐다. 6. 제2투표구에 후보자들의 대표 2명이 밤 10시 30분에 나타난 것으로 보고됐다. 허버트 테일러(Hebert W. Taylor) 대위 <첨부문서> 제46C호: 제주도 구좌면 선거활동 일지 구좌면 선거활동 일지 감시자: 번하이젤(Bernheisel) 중위 머리말: 선거 당일의 활동의 대체적인 내용은 위에 언급된 이유들 때문에 별다른 일이 일어나지 않은 것으로 특징지어진다. 전체 투표소 18곳 가운데 14곳을 방문했다. 전체 유권자의 96%인 8,734명이 등록한 것으로 보고됐다. 모든 투표는 오전 7시 시작됐다고 보고됐으며 오후 4시까지 구좌면 전역의 투표가 완료됐다. ⑴ 오전 9시 30분께 구좌면 도착. 오전 9시 45분에 제2투표소 방문. 150명이 우리가 방문한 시간에 투표했다. 전체 유권자의 98%인 687명이 등록한 것으로 보고됐다. 모든 것이 정상이다. ⑵ 오전 10시 제4투표소 방문. 전체 유권자의 98%인 369명이 등록. 순조롭게 진행되고 있다. ⑶ 오전 10시 10분 제3투표소 방문. 100%인 350명이 등록한 것으로 보고됐다. 특이사항 없음. ⑷ 오전 10시 30분 세화에 있는 제10투표소 방문(면사무소). 90%인 561명이 등록. 방문 당시 270명이 투표. 순조로운 상태. ⑸ 오전 10시 50분 제12투표소 방문. 96%인 577명이 등록한 것으로 보고됐다. 방문 당시 400명 투표. 특이사항 없음. ⑹ 오전 11시. 98%인 273명이 등록한 것으로 보고됐다. 방문 당시 200명 투표. 정상. ⑺ 오전 11시 10분. 제14투표소 방문. 98%인 534명이 등록. 방문 당시 270명 투표. 정상. ⑻ 오전 11시 40분. 제16투표소 방문. 634명(90%) 등록. 방문 당시 250명 투표. 정상. ⑼ 오래지 않아 나머지 5곳의 투표소를 방문했다. 방문할 때에는 특이사항이 없었다. 제17, 18투표소는 제주 외곽의 작은 섬에 위치해 있어 방문하지 않았다. 제8투표소에서의 사건은 정오 조금 전에 받았다. 감시자는 도움을 얻기 위해 면 감시를 중단하고 제주로 돌아가 보고했다. 이에 따라 경찰이 전날 밤 문제가 발생한 지역에 파견됐다. ⑽ 10일 오후에 투표가 끝나면서 지방 선거관리위원들이 상당한 불안감을 표출했다. 외부의 위협 때문에 선거관리위원들은 투표함의 안전에 두려움을 느끼고 있다고 보고됐다. 투표가 끝나는 대로 가능한 한 빨리 투표함을 수거하기 위해 제주도 관리들이 경비대와 함께 모든 사전 준비를 끝냈다. 감시자는 투표함들을 수거하기 위해 할 수 있는 모든 것들을 하겠다고 약속했다. 11일 오전, 그는 투표함을 수송하기 위해 군정중대 본부의 트럭을 타고 왔으나 구좌면으로 들어가다가 제주읍 선거본부로 투표함을 모두 싣고 가는 경비대 트럭을 만났다. ⑾ 5월 11일 오후와 5월 12일 감시자는 3개 투표구의 개표를 감시하는 것을 지원했다. 이들 3개 투표구는 제주읍, 조천면, 구좌면이다. 선거관리위원들은 상당히 시간이 지연된 뒤 진행방법에 대한 확신을 갖고 체계적인 방법으로 개표하기 시작했다. 후보 대표자들과 일부의 구두 방해를 제외하고는 선거절차의 이 단계는 정상적으로 끝났다. 찰스 번하이젤(Charles K. Bernheisel), DAC. 군정청 사령부 <첨부문서> 제47호: 선거활동 1948년 6월 11일 남조선과도정부 수석고문관실 수신: 주한미군정청 사령부 사령관 참조: 웩커링(J. Weckerling) 장군 1. 1948년 3월 8일 이 사무실은 군정장관의 내부 비망록에 따라 선거국면에 참여하게 됐습니다. 이 내부 비망록은 현재의 선거 지령을 수행하기 위해 필요한 예비조처를 즉각 취할 것을 요구했습니다. 2. 서울의 주한미군정청 사령부에서 1948년 3월 12일 오전 9시 지방 민정장관과 한국인 지사, 지역 재판장들의 회의소집을 요구하는 무전과 전화메시지가 즉각 모든 지방에 전달됐습니다. 3. a. 3월 12일 회의가 계획대로 열렸습니다. b. 3월 8일부터 12일 사이에 유엔이 승인한 선거법 내용이 3월 12일 회의 배포용으로 영어와 한국어로 급하게 등사 인쇄됐습니다. c. 3월 12일 오후 지방 민정장관과 한국인 지사들이 귀향할 수 있도록 특별 열차와 항공편이 마련됐습니다. 4. 중앙선거관리위원회, 서무처, 선거예산과 관련한 수석고문관실은 때때로 회의를 가졌습니다. 4월 5일 군정장관은 절충예산을 승인했습니다. 5. 웩커링 장군 사무실의 요원들과 유엔 대표들이 선거법 최종 승인과 관련한 3월 8일부터 17일 사이에 여러 차례 회의를 가졌습니다. 이 기간에 서무처는 선거법과 규칙, 규정에 관해 한국어로 급히 인쇄했습니다. 또 이들 중요한 서류들을 최하 단위까지 신속하게 배포하는 계획도 세워졌습니다. 영어 사본은 등사 인쇄될 것이라는데 합의했습니다. 이에 필요한 업무는 요즘 최상의 노력을 경주하는 주한미군정청과 부관감실과 함께 이뤄졌습니다. 서무처는 등록서식과 투표명부의 인쇄와 배포 계획을 조정했습니다. 6. 1948년 3월 31일 ‘미국요원들에 의한 선거절차 감시’라는 비망록이 군정장관의 승인을 위해 마련됐습니다. 이것은 1948년 4월 1일 승인돼 발간됐으며 배포됐습니다. 7. 3월 30일부터 4월 9일까지 수석고문관실은 남조선과도정부 여러 기관들의 요청에 의해 선거법에 따른 회의를 통고하기 위해 스피커를 제공했습니다. 8. 4월 5일 선거일을 1948년 5월 9일에서 1948년 5월 10일로 바꾸는 행정명령 제20호를 인쇄해 배포했습니다. 9. 1948년 3월 27일 남한 전역을 시찰할 유엔 감시반들과 관련해 여러 미국 기관들을 조정하기 위해 주한미육군사령부에서 회의를 열었습니다. 이들의 여행에서 진짜 부담은 남조선과도정부 운수부에 떨어졌고 성공적으로 끝났다고 말할 수 있습니다. 수석고문관실은 필요한 조정에 책임이 있고, 여러 지방과 기관에 요구된 지령을 내보냈습니다. 유엔감시반은 4월 5일부터 4월 10일까지와 4월 19일부터 4월 24일까지 등 지방시찰을 2차례 했습니다. 이 시찰에 대한 비슷한 지령이 떨어졌는데 완전한 이동의 자유와 최고의 숙소와 시설, 공식적인 연회나 환대 없기, 방문중 요구된 운송수단 제공 등의 내용이 들어있습니다. 그들이 돌아오거나 지방의 유엔감시반으로부터 받은 보고서는 대부분 우호적입니다. 10. 등록은 1948년 3월 30일 시작했습니다. 이 시기 일선 말단까지 보내는 투표용지의 인쇄와 배포 및 투표함과 자물쇠의 최종 배분을 위한 준비계획이 조정됐습니다. 이 중요한 단계에서 요구되는 모든 것은 1948년 5월 7일 완료됐습니다. 남조선과도정부 서무처는 그들의 훌륭한 업무로 칭찬을 받을 것입니다. 11. 5월 8일부터 선거일인 5월 10일까지 전기간에 걸쳐 남조선과도정부 여러 기관들의 관심은 정기적으로 접촉하고 거의 날마다 비공식적인 진전상황을 보고는 것이었습니다. 12. 선거와 관련한 미국인의 감시에 대한 군정장관의 계획은 411명의 미국인을 필요로 했습니다. 이 숫자 가운데 약 200여명이 이미 각도에 위치해있습니다. 남조선과도정부의 모든 부처에는 배정된 211명의 미국인들을 배치하도록 요구했습니다. 이들 인력의 오리엔테이션 모임이 1948년 4월 26일 주한미군정청에서 열렸습니다. 이날 모임에서는 선거법을 설명하고 주어진 업무에 대해 상세하게 설명했습니다. 1948년 5월 3일 선거업무를 위해 선발된 인력의 최종 모임이 열렸습니다. 교통편 확보, 현장장비 보급, 출발에 앞선 이른 아침의 회식에 대해 설명했습니다. 여행 명령서와 선거법, 규칙, 규정과 관련한 사본이 각 감시자에게 전달됐습니다. 또 예상되는 언어장애를 돕기 위해 조사목록과 질문용지가 영어와 한국어로 등사 인쇄됐습니다. 13. 5월 4일부터 5월 9일까지: 유엔 선거감시자에 대한 명령준비와 그들의 숙소와 교통, 실제 감시활동에 대한 조정문제가 이기간에 이뤄졌습니다. 미국과 유엔 감시자들의 실제 움직임은 동시에 일어났습니다. 14. 선거일부터 5월 17일까지: 수석고문관실은 주로 지방으로부터 선거결과를 보고 받고, 이를 공보부가 사용할 수 있도록 만들어 이 기간 상주한 많은 외국 특파원들을 위한 보도자료로 내놓는데 집중됐습니다. 15. 전반적인 선거단계에 걸쳐 수석고문관실은 관련된 남조선과도정부의 많은 기관들의 활동을 조정하는데 책임이 있었습니다. 찰스 더피(Charles G. Duffy) 중령은 제임스 맥마흔(James McMahon) 대위의 지원을 받아 군정장관과 중앙선거관리위원회 사이의 연락장교로 임명됐습니다. 그는 또한 군정청의 조정과 모든 선거단계의 이행에 모든 책임이 맡겨졌습니다. 주한미군정청과 남조선과도정부의 완전한 협조와 전심전력을 기울인 노력으로 규정된 시간의 한계 내에서 처음에는 불가능할 것처럼 보였던 것을 엄청난 승리로 만들었다. 주한미육군사령부 참모장대리 대령 센트너(Wm. F. Centner) <첨부문서> 제48호: 선거반대 활동표 경무부 수사국 정보과 선거반대 활동 표(1948년 2월 7일~5월 14일) (다음 페이지에 계속) (다음 페이지에 계속) <첨부문서> 제50호: 유엔한국임시위원단의 선거감시반 결성 A/AC.19/W.42 유엔한국임시위원단 1948년 3월 27일 감시반 일정과 시설(사무국 작성) 위원단은 제27차 회의에서 각 도(가능하다면 제주도와 울릉도 포함)와 가장 중요한 선거단계 기간에 선거진행을 감시해야 한다고 결정했다.(논평 A/AC.19/56) 위원단은 조정된 계획에 따라 선정한 지역의 선거 이행을 감시하기 위해 첫 사례로 2-3개 지방 감시반을 구성하기로 추가 결정했다. (중략) 별첨 1 유엔 감시반 감시1반(주무 위원회) 1. 서울시- 4월 5일. 월요일 2. 경기도 개성- 4월 6일. 화요일 자동차로 서울에서 약 1시간 30분 소요. 오전 출발 야간 귀환 3. 경기도 인천- 4월 7일. 수요일. 자동차로 서울에서 약 1시간 15분 소요. 유엔 교통수단 4. 강원도 춘천*- 4월 8일. 목요일. 자동차로 서울에서 약 2시간 소요. 오전 출발 야간 귀환 5. 제주도 제주* 비행기로 서울에서 약 2시간 30분 소요. 서울 출발-4월 9일 금요일 오전 귀환- 4월 10일. 토요일 오후 *도청 소재지 위의 일정은 도청소재지 2곳과 서울시, 경기도의 중요한 2곳(인천과 개성)을 방문하게 되는 것이다. 4월 9일 하룻밤만 서울에서 떨어진 곳에서 지낼 것이다. (중략) 별첨2 제목: 유엔감시단의 교통수단과 기타 시설 1948년 3월 25일 수신: 주한미육군 연락관사무소 존 웩커링 준장 발신: 피트러스 슈미트 사무국장 합동회의와 관련해 1948년 4월 10일 끝나는 주 동안 선거절차를 감시하기 위해 사무국이 마련한 여행계획을 보냅니다. 감시1반은 1948년 3월 23일자 귀하의 비망록 f문항에 명시된 자동차를 사용할 것입니다. 이와 함께 점심식사 설비도 개성과 춘천에 마련해야 합니다. 인천 답사는 유엔 차량으로 할 것이며, 또한 점심식사가 준비돼야 합니다. 제주도 답사는 비행기가 절대적으로 필요하며 식사와 숙소의 모든 필요시설이 제공돼야 합니다. 감시2반은 귀하의 비망록 c, e문항에 명시된 칸막이가 달린 침실차 1대와 식당차 1대를 사용할 것입니다. 이런 차량은 첨부된 일정표에 명시된 정규 열차에 붙일 것입니다. 5-6일의 여행에 충분한 식당차에 마련된 적당한 식사를 하는 것도 필요할 것입니다. 또 야간 숙소이용이 가능한 것이 필요하며 이를 위해 감시반의 남녀 위원들의 목욕시설도 필요합니다. 감시3반은 감시2반에 명시된 같은 형태의 시설이 필요할 것입니다. (중략) <첨부문서> 제51호: 감시반 조직과 여정 A/AC.19/w.42/Add.5 유엔한국임시위원단 1948년 4월 16일 감시반의 수정된 조직과 여행일정(1948년 4월 24일 끝나는 주)(3차 회의에서 주무위원회가 채택) 1948년 4월 24일 끝나는 주 동안 선거일정의 감시를 위한 다음의 수정된 계획은 여기 감시반의 안내용으로 회람시켰다. 1.조직 감시1반(주무 위원회) 감시2반 감시3반 감시4반 <첨부문서> 제52호: 감시반 조직과 여행일정 A/AC.19/W.42/Add.6/Rev.1 1948년 5월 3일 유엔한국임시위원단 감시반 조직과 여행일정(1948년 5월 7~11일) (제6차 회의에서 주무위원회가 채택) 1948년 5월 7일부터 11일까지 선거일정 감시를 위한 다음의 수정계획을 감시반의 안내용으로 회람시켰다. 주무 위원회는 아무 감시반이라도 아래 주어진 일정 외에 추가일정을 연장하는 것이 바람직하다고 간주되면 감시기간을 연장하는데 동의했다. 1. 조직 2. 여행일정 (중략) 감시8반 1. 서울 출발 오전 8시(자동차 이용) 금요일(5월 7일) 김포비행장 출발(항공편) 오전 10시* 제주도 도착 낮 12시 2. 제주도 출발(항공편) 오후 1시** 화요일(5월 11일) 김포비행장 도착 오후 3시 서울 도착 오후 4시 15분 감시9반 미군 당국이 마련. *정규 비행편 **특별기 <첨부문서> 제54호: 제주도 선거결과 보고 1948. 5. 21 중앙선거관리위원회 주한미군정청 군정장관 딘 장군 귀하 총선결과 보고 5월 10일 선출된 국회의원들의 명단을 보고합니다. 또 북제주 갑과 을 선거구에 대해 선거위원회가 통과시킨 결의안도 보고합니다. 각하의 진지한 고려와 적절한 조처가 있기를 기대합니다. 중앙선거관리위원회 위원장 노진설 1948. 5. 19 주한미군정청 군정장관 윌리엄 딘 소장 귀하 제목: 제주도 일부 선거구에서 이뤄진 선거무효 보고서 북제주군 갑과 을 선거구의 선거가 다음과 같은 이유로 선거법 제44조에 따라 무효화 할 것을 각하에게 건의하게 된 것을 영광스럽게 생각합니다. 1. 갑 선거구-73개 투표구 가운데 투표가 이뤄진 투표구는 31개 1)투표를 할 수 없었던 투표구수 2)등록 유권자수 2만 7,650명 투표에 참가한 유권자수 1만 1,912명 3)후보 순위 1위: 양귀진 3,647표 2위: 김시학 3,479표 3위: 김충희 2,147표 4위: 문대유 1,693표 2. 을 선거구: 61개 투표구 1)투표가 이뤄진 투표구 숫자: 32개 투표를 할 수 없었던 투표구 숫자: 29개 2)등록 유권자수: 2만 917명 투표에 참가한 유권자수: 9,724명 3)후보 순위 1위: 양병직 3,774표 2위: 박창희 3,190표 3위: 김덕준 691표 진지한 고려와 적절한 결정이 있기를 기대합니다. 중앙선거관리위원회 위원장 노진설 당선자 명단 <첨부문서> 제54A호: 선거무효 주한미군정청 1948. 5. 24 제목: 선거무효 수신: 중앙선거관리위원회 1. 1948년 3월 17일 발표된 국회의원 선거법에 따라 1948년 5월 10일 북제주군 갑 선거구와 을 선거구에서 실시한 선거는 무효와 효력이 없음을 선언한다. 2. 위에 언급한 선거법과 중앙선거관리위원회의 통제하에 선거법 제44조에 따라 재선거는 1948년 6월 23일 이들 2개 선거구에서 실시할 것을 이에 명령한다. 3. 이들 선거구의 선거를 무효화하기로 한 이번 결정은 1948년 5월 10일 실시한 북제주군의 갑과 을구 선거구의 투표수가 과반에 미달한 사실을 심사숙고한 중앙선거관리위원회와의 협의에 이어 나온 것이다. 이들 선거구는 파괴분자들의 활동과 폭력행위 때문에 인민의 진정한 의사 표현으로 볼 수 없다. 군정장관 딘 소장 <첨부문서> 제55호: 남한의 선거인 등록과 투표율 남조선과도정부 서무처 통계국 남한의 선거인 등록과 투표율 (1 남제주군 자료 (2 21살 이상의 1947년 전국 등록인구(750만명 샘플)의 49.3%에 근거함 (3 경쟁후보가 없고 4만 2,021명의 등록 유권자를 가진 1개 선거구 포함. (4 경쟁후보가 없고 6만 8,755명의 등록 유권자를 가진 2개 선거구 포함. (5 경쟁후보가 없고 4만 9,149명의 등록 유권자를 가진 1개 선거구 포함. (6 경쟁후보가 없고 13만 5,292명의 등록 유권자를 가진 3개 선거구 포함. (7 경쟁후보가 없고 15만 405명의 등록 유권자를 가진 5개 선거구 포함. (8 경쟁후보가 없는 자료에서만 뽑은 비율
[illegible] 225 [illegible] [illegible] United States Political Adviser, Ho. XXIV Corps, APO 235 c/o PM, San Francisco, California [illegible] Re: [illegible] Seoul, Korea, July 22, 1948 [illegible] AUG - 5 1948 [illegible] SUBJECT Report on United States DEPARTMENT [illegible] nt's Association with the Korean Election [illegible] [illegible] 3/8/75 to, [illegible] EA THE HONORABLE [illegible] fc -- THE SECRE ARE OF STATE - cf [illegible] 4-73 WASHINGTON With reference to Seoul POLAD despatch No. 185, June 25, 1948, transmitting three sets of a secret report prepared by the Command's Liaison Officer on the activities of the United Nations Temporary Commission on Korea, I have the honor to enclose four copies of the "restricted" report prepared by the United States Military Government in Korea on its activities in connection with the holding of the Korean election on May 10, 1948. There are also enclosed four copies of the Military Governor's memorandum of July 10, 1948 to the Commanding General transmitting this report. As suggested in connection with the Liaison Officer's report, the information contained in the report transmitted herewith may be of assistance to the Department's officers who handle the Korean problem during the meeting of the General Assembly at Paris. In addition, both reports will be of interest for historical purposes. Respectfully yours, Joseph K. Jacobs United States Political Adviser Enclosures: [illegible] 1. 4 sets of report by USAMGIK 2. 4 copies of memorandum July 10, 1948 .from Military Governor to Commanding General <첨부문서> 5·10선거와 주한미군정청 활동에 관한 보고서(1948. 7. 10) Enclosures N [illegible] to despatch No. 225, July 12, 1948, Seoul, Korea, [illegible] on United States Military [illegible] Activities in Connection with the Korean Election of May 10, 1948 [illegible] COPY HEADQUARTERS UNITED STATES ARMY MILITARY GOVERNMENT IN KOREA Office of the Military Governor APO 235 UNIT 2 10 July 1948 SUBJECT: Report of the Holding of Elections in South Korea TO : Commanding General United States Army Forces in Korea APO 235 1. Attached are seventeen (17) copies of a report en- titled: "Report of the Military Governor of the holding of elections in South Korea on 10 May 1948, leading to the estab- lishment of a Korean National Assembly and Government under the observation of the United Nations Temporary Commission on Korea (UNTCOK)." (See attached inclosure for recommended distribution). 2. The Korean people have demonstrated beyond doubt that they are capable of holding, under normal conditions, fair, honest, and efficient elections in the best democratic tra- ditions. The administrative and organizing abilities of of- ficials of the South Korean Interim Government and the National Election and subordinate Committees during the 10 May elections were of a uniformly high order. The efforts of Communist and dissident elements to stop the elections and to confuse the people were generally speaking ineffective. 3. The attached report shows that the leadership, drive, energy and technical direction of United States advisers in SKIG and the Chief Civil Affairs Officers in the Provinces, were responsible to a considerable extent for the success of the election of the executive and policy level. This statement does not, of course, detract in the least from the magnificent work of the Koreans in the organization and administration of the election machinery itself. 4. Largely because of the important role of the U. S. officials in this election the attached report is classified as "Restricted." For international reasons, it is inadvisable to stress overly U.S. participation publicly at this time. 5. The National Election Committee has prepared a report of the part that was played by that and subordinate committees and officials in the election. An English copy will be for- warded separately as soon as translated. That report should be suitable for publicity purposes in South Korea. /s/ W. F. Dean W. F. DEAN Major General, United States Army Military Governor <첨부문서> 선거결과 보고 R E S T R I C T E D A N N E X Subject Preamble I - PREPARATORY PHASES 1. Technical and Administrative Arrangements 2. Budget for Election Expenses 3. Measures Taken for Attainment of "Free Atmosphere" For Elections 4. Adoption of Election Date, Election Law and Regulations 5. Information Program II - REGISTRATION AND ELECTIONS 6. Registration and Elections in Seoul City and the Provinces 7. Communist Efforts to Disrupt and Prevent Elections 8. UN Observation of Elections 9. Official Results of the Election III - NATIONAL ELECTION COMMITTEE AND FLECTION REVIEW BOARD 10. National Election Committee 11. Election Review Board IV - ORGANIZATION OF THE NATIONAL ASSEMBLY 12. Convocation of National Assembly Summary I - PREPARATORY PHASES 2. Budget for Election Expenses [illegible] requests, for funds were received from the [illegible] Election Committee to cover expenses for rent of polling [illegible] local publication of notices, transportation, etc., for [illegible] to the provinces, totalling W122,760,000. Several conferences with the Military Governor and the National Election Committee resulted in reducing this amount to W28,000,000 which [illegible] approved. This amount was broken down for allocation to the [illegible], and a directive covering the allocation of these [illegible] was prepared and issued on 15 April. Included in this dir- [illegible] was a strong statement to the effect that no further funds would be allocated, and that every available government resource would be used in order to keep expenditures down. The final budget amounted to W851,798,000. ALLOCATIONS BY PROVINCES AND OFFICE OF ADMINISTRATION Funds Allocated City of Seoul W27,656,000.00 Kyonggi-Do 63,818,600.00 Kang Won-Do 30,409,600.00 Kyang Sang Pukto 92,570,600.00 Kyong Sang Namdo 69,439,700.00 Cholla Pukto 63,422,500.00 Cholla Namdo 71,385,500.00 Chung Chong Pukto 30,083,200.00 Chung Chong Namdo 58,138,600.00 Cheju Do 8,542,700.00 Office of Administration 336,331,000.00 W 851,798,000.00 4. Adoption of Election Date, Election Law and Regulations. a. Decision of Election Date. (1) Paragraph 2, Part II of the United Nations Resolution of 14 November 1947, recommended "... that the elections be held not later than 31 March 1948 ..." It was recognized by UNTCOK before its arrival in Seoul that holding the elections by this date would be impossible and there never was any discussion with the U.S. authorities proposing that this deadline be met. (2) Influence of Planting Season: On the 19th of January, the U.S. Liaison Officer sent a "Spring Agricultural Calendar" prepared in the Department of Agriculture (Major C. [illegible] Adviser) to UNTCOK and in an accompanying note said: "It is suggested from the viewpoint of agriculture that the first week in May is the very latest period during which elections should be held." The planting season was recognized by both the U.S. authorities and UNTCOK as being the greatest influence in the establishment of an election date. Mr. Petrus J. Schmidt, the Principal Secretary, on 20 February remarked to the U.S. Liaison Officer: "We were exceedingly glad to get, when we first arrived here, a calendar giving the planting schedule. This more than anything else helped to push the work along. It was the thing I needed to convince the delegates that they must reach some decision by the first of March." (3) An earlier election date would have interrupted spring plantings in Kyonggi and Kangwon Do; a later one would have affected seeding farther south and transplanting in the north. Inasmuch as initial plantings and the subsequent transplanting of rice are dates that must be closely adhered to, the proper timing of the election undoubtedly contributed to its success. Due to the timeliness and because the election itself was carried through with a minimum of unrest there was only slight interference in the regular agricultural routine. Fisheries in Cheju Do were most affected, with production only 30 to 40% of normal. (4) The selection of the actual date on which elections were to be held was carefully coordinated between UNTCOK and the U.S. Command. The agreement to hold elections not later than 10 May 1948, with the understanding that the U.S. authorities would select 9 May as the specific date, was reached on 29 February. At the same time, however, the U.S. Liaison officer carefully warned Mr. Schmidt, the Principal Secretary of UNTCOK, that the selection of this date was conditional upon the U.S. authorities receiving promptly UNTCOK comments on the Election Law and Regulations, without which it was impossible to proceed with essential election preparations. II - REGISTRATION AND ELECTIONS 6. Registration and Elections in Seoul and the Provinces. (10) Cheju Island On the island of Cheju, long the scene of [illegible] vendettas, the Communists apparently made their [illegible] effort to disrupt the elections. Trained agitators and [illegible] armed groups were sent to Cheju from other provinces to [illegible] and halt, if possible, the registration and balloting. [illegible] casualties on Cheju Island were considerable. For the entire [illegible] the Communist subversive effort beginning 7 February [illegible] 14 May (Communist subversive activities still continue [illegible] astonishing scale on Cheju) the figures wore: Election officials - Killed 4 (More than any other province) [illegible] Police - Killed 12 Wounded 25 (Second highest total among provinces) Families of Police - Killed 6 Wounded 3 (Highest total among provinces) [illegible] Additionally 42 persons were killed and 60 wounded by Com- [illegible] indiscriminate attacks on Cheju Island. The Communists [illegible] armed, principally with Japanese weapons, and the [illegible] areas of the island, afforded excellent concealment [illegible] for launching raids on villages. There was considerable [illegible] of both election officials and voters and in some [illegible]lete destruction of balloting places, particularly in [illegible] In some cases almost the entire village population [illegible] force on Election Day. [illegible] [illegible] vicious campaign by the Communists, excellent [illegible] results were obtained. In the three electoral dis- [illegible] (2 in North and 1 in South Cheju) a total of 69.8% [illegible] and 86.6 of actual registrants voted. (Inclosure [illegible] in North Cheju the voting was higher, however, than in [illegible] area in South Korea: South Cheju No. of Reg-istered Voters No. of Actual Voters Voting Districts Districts Where Votes Could Not Be Counted [illegible] 1 Dis-[illegible] 27,560 11,912 73 42 [illegible] Dis-[illegible] 20,917 9,724 61 29 (Inclosure No. 54) In view of the situation prevailing on Cheju, the Military Governor, on recommendation of the National Election Committee, invalidated the voting in the two electoral districts of North Cheju. Elections in these areas were postponed indefinitely. (See Inclosure No. 46 for detailed report of U.S. observers). (11) Report of Chief Adviser and USAMGK Liaison Officer (Colonel Wm. F. Center, Acting Chief Adviser, and Lt. Colonel Charles G. Duffy, Liaison Officer) Attached as Inclosure No. 47 is a report of the Office of the Adviser, South Korean Interim Government, which coordinated the various overall steps within the responsibility of the United States Army Military Government in Korea and the South Korean Interim Government. This office, through Colonel Duffy, also acted as liaison link between the U.S. Liaison Officer with the United Nations Temporary Commission on Korea and the United States Army Military Government in Korea and also between the latter and the National Election Committee. (For photographs of Election Day balloting and other election activity, see Inclosures Nos. 47A to 470.) 7. Communist Efforts to Disrupt and Prevent Elections. A. Beginning on 7 February 1948, the Communists began an intensive, comprehensive effort to disrupt and prevent the 10 May elections in South Korea and to force the UNTCOK to leave Korea. That effort included murder, arson, violence, strikes, demonstrations, bribery, incitement to riot and revolution, intimidation, and propaganda. There was no doubt that the entire campaign was planned in Pyongyang and directed from Voroshilov (Eastern Siberian Military Headquarters) and Moscow. b. The attempted 7 February general strike and the consequent disturbances and rioting were a prelude to the overall plan. This effort generally failed although it represented almost a maximum Communist effort. c. The PYONGYANG Radio in North Korea trumpeted the major official themes of the campaign: "The armies of both U.S. and U.S.S.R. should withdraw at once." "The 10 May election means the permanent division of Korea." "The United States intends to colonize Korea as part of an imperialistic plan." "Pro-Japs and national traitors should be destroyed." Subsidiary propaganda was to be spread by Communist agents as follows: (1) A Korean People's Republic was already established in North Korea. (2) An army of three [illegible] of [illegible] soldiers has been set up in North Korea while South Korea has a very feeble national defense power. (3) KIM, Il Sung (North Korea Communist leader) will conquer South Korea by force within a short time. (4) The practical action to be taken was: "Grasp the chance now that the people are restless, and assail the police stations, killing policemen and rightist leaders. Tell the people that if they do not oppose the general election, they will be punished as traitors." d. Riots and disturbances were to be fomented at meetings (1) denouncing the U.N. Commission, (2) insisting that both occupation forces withdraw and (3) urging transfer of the political power to the people. Women would be sent to the administrative authorities to demand food. Food would be stolen and distributed to the people. When the Police and Dai Dong Youth Party interrupted meetings, the Communists were to crush them completely. When the people were ready to assault government and public offices, the leaders were to disappear to evade responsibility but the assault would not be stopped. Fighting was to be continued so that it would paralyze peace and order. e. Special instructions were issued in connection with the above efforts: (1) For propagandizing, assaulting and destructive pur[illegible] poses, strangers from other districts were to be used. (2) Leaders were to be either poor farmers or people who[illegible] [illegible] revolutionary spirit" in the fight of February [illegible] [illegible] (3) The Constabulary was to be bribed and induced to [illegible] with the police. Although the Communist efforts were well planned and vigorously executed, the elections were carried out in most of Southern Korea quietly and efficiently. (On Cheju Island and in the Southern provinces the Communists made major efforts to stop the election and create chaos and revolution, particularly on Cheju). During the election week-end of 8-10 May there were 57 attacks on voting booths, 7 policemen killed, 1 candidate wounded and 5 election officials killed besides numerous other killings and incidents involving sabotage of industry and communications, [illegible]es; etc. But the entire campaign of the Communists from [illegible]February through 14 May totalled many more: Election offices attacked 134 Killed Wounded Election officials and candidates 17 65 Police and their families 56 142 (49 policemen) (128 policemen) Communists and rioters 261 123 (See Inclosure No. 48 for complete details). The Communists aided by family vendettas and isolation of Cheju Island, succeeded in disrupting the elections there suffi- ciently to cause the Military Governor to order new elections. The Communists made a powerful effort on Cheju Island and apparently brought in numbers of trained agitators and quantities of arms and ammunition from other areas and from North Korea itself. The [illegible] continues and may be played up on Communist radio broad- [illegible] as the "Greece of the Orient." One of the most quieting influences on the election was [illegible]ganization of the "Community Protective Corps (Hyang Boh Dan) [illegible] approval of the South Korean Interim Government shortly [illegible] the election solely to guard against the anticipated [illegible] disruptive [illegible] and interference with the elections. This vigilante-type body of men was organized from citizens and members of youth groups to [illegible] with [illegible]. It was dissolved [illegible] May 1948 by Mr. [illegible] [illegible] [illegible] Administration of SKIG, with the approval of the Military Governor. The body [illegible] served a good purpose although (inevitably) there were a few reports of excesses [illegible] by [illegible] members of the Corps. b. Korean Constabulary [illegible] (First, Corn. [illegible]. Roberts, Adviser) (1) [illegible] entire [illegible] [illegible] [illegible] was alerted for possible action and immediate movement. (2) Every American Adviser was directed to be physically present with the unit to which he was assigned, from 081800 May 1948 to 121800 May 1948. Other instructions directed the safe- guarding of weapons and ammunition. An American duty officer was present at this Headquarters night and day from 080800 May to 121800 May. American advisers in the field established liaison with Civil Affairs Officer of each province, who called out Korean Constabulary for special guards in many provinces. (3) Twenty-two (22) platoons were alerted to guard as many prisons; in some cases where unit was not close to prison earmarked for guard, the unit did not move out to a closer area near the prison, but still remained on an alert status. (4) The Korean Constabulary also assumed the responsibility of guarding four (4) Hydro plants and four (4) Thermal plants. (5) Four (4) Platoons from 4th Regiment were sent to isolated places for security reasons. (6) On Cheju Do Island, the Korean Constabulary assisted in guarding the voting boxes. ORGANIZATION CHART SOUTH KOREA INTERIM GOVERNMENT I JANUARY 1948 MILITARY GOVERNOR DEPUTY MILITARY GOVERNOR EXECUTIVE BRANCH CIVIL ADMINISTRATOR LEGISLATIVE BRANCH KOREAN INTERIM LEGISLATIVE ASSEMBLY JUDICIAL BRANCH COURTS NAT'L ECONOMIC BOARD NAT'L PRICE ADMIN. NAT'L FOOD ADMIN. OFFICES ADMINISTRATION CIVIL SERVICE FOREIGN AFFAIRS DEPARTMENTS AGRICULTURE COMMERCE EDUCATION COMMUNICATION PUBLIC HEALTH AND WELFARE FINANCE JUSTICE LABOR POLICE PUBLIC WORKS PUBLIC INFORMATION INTERNAL SECURITY TRANSPORTATION PROVINCES KYONGGI-DO CHUNGCHONG-PUKTO CHUNGCHONG-NAMDO KYONGSANG-PUKTO CHEJU-DO KYONGSANG-NAMDO CHOLLA-PUKTO CHOLLA-NAMDO KANGWON-DO SEOUL CITY PREPARED BY: STATISTICS DIVISION, NATIONAL ECONOMIC BOARD ORGANIZATION CHART U S MILITARY GOVERNMENT IN KOREA JANUARY 1948 MILITARY | GOVERNOR CHIEF OF STAFF STAFF SECTIONS STAFF JUDGE ADVOCATE SPECIAL INVESTIGATOR OPERATIONS SECTIONS G-1 G-2 | 3 G-3 G-4 CHAPLAIN | SURGEON PX AG HQ. COM SIGNAL MANDANT P.M. & SAFETY SPECIAL STAFF HQ.SUPPLY MOTOR GROUP COMMANDERS | 1] CHIEF ADVISER POLICY NATIONAL FOOD ADMIN. | 2] NATIONAL PRICE ADMIN. | 8] NATIONAL ECONOMIC BOARD OPERATIONS NATIONAL ADVISERS NATIONAL ADMINISTRATION CIVILIAN SUPPLY PROPERTY CUSTODIAN INTERNAL SECURITY ADMINISTRATION AGRICULTURE CIVIL SERVICE JUSTICE LABOR POLICE PUBLIC INFORMATION EDUCATION COMMUNICATION PUBLIC WORKS PUBLIC HEALTH AND WELFARE FOREIGN AFFAIRS TRANSPORTATION PROVINCIAL ADVISERS | 1] KYONGGI-DO CHUNGCHONG-PUKTO CHANGCHONG-NAMDO KYONGSANG-PUKTO KYONGSANG-NAMDO CHOLLA-PUKTO CHOLLA-NAMDO KANGWON-DO SEOUL CHEJU-DO 1] PROVINCIAL ADVISERS AND GROUP COMMANDERS ARE THE SAME INDIVIDUALS. 2] ORDINANCE NO. 90 STATES THAT N.F.A. AND N.P.A. WILL GO FROM ITS POLICIES, PLANS, AND PROGRAMS TO THOSE OF N.E.B. 3] ADVISOR TO NATIONAL POLICE PREPARED BY: STATISTICS DIVISION, NATIONAL ECONOMIC BOARD. <첨부문서> 남한 총인구와 유권자 수(1948. 4. 1) TOTAL POPULATION OF SOUTH KOREA AS OF 1 APRIL 1948 (Koreans Only) Sept. 1946 19,369,270 Returnees entering South Korea Sept. 1946 through March 1948 228,369 Natural increase at 1.8% per annum 523,240 Total Population 20,120,879 Source: Department of Public Health and Welfare Source: Office of Foreign Affairs Source: Department of Public Health and Welfare. (000) Total 20,121 Seoul City 1,247 Kyunggi Do 2,575 Choong Chung Puk Do 1,147 Choong Chung Nam Do 1,992 Cholla Puk Do 2,093 Cholla Nam Do 3,058 Kyungsang Puk Do 3,260 Kyungsang Nam Do 3,300 Kang Won Do 1,167 Cheju Do 282 SOUTH KOREA: NATIONAL ELECTION 1948 Potential Registrants, Number of Actual Registrants, and Percentage Registered by Province Province Possible Registrants Number Registered % Registered (000) (000) Total 1/ 9,834 7,837,504 79.7 Seoul City 616 568 92.2 Kyunggi Do 1,269 1,085 85.4 Choong Chung Puk Do 565 462 81.8 Choong Chung Nam Do 982 794 80.9 Cholla Puk Do 1,032 802 77.7 Cholla Nam Do 1,508 1,106 73.3 Kyungsang Puk Do 1,607 1,228 76.4 Kyungsang Nam Do 1,627 1,288 79.2 Kang Won Do 575 468 81.3 Cheju Do 1/ 53 37 69.8 1/ Excludes Puk Che Ju Gun where elections were invalidated. <첨부문서> 제6B호 : 종이공급에 관한 임시 통제(1948. 1. 8) HEADQUARTERS SOUTH KOREAN INTERIM GOVERNMENT Seoul, Korea 6 January 1948 MG NEB SUBJECT: Temporary Control of Paper Supplies TO : Adviser and Director, Department of Commerce Adviser and Director, Office of Administration 1. It is hereby directed that all imports of paper and all supplies thereof produced in wasted plants in South Korea be channelled to the Office of Administration until approximately four hundred (400) metric tons of paper have been accumulated for use in the forthcoming United Nations General Election. When the necessary stocks of paper have been accumulated by the Office of Administration, that office will notify the Department of Commerce that further diversions may cease. 2. If it should become necessary, in order to meet local needs, to release from time to time supplies of paper which are being accumulated by the Office of Administration, such releases shall be made by order of the National Economic Board. BY DIRECTION OF THE COMMANDING GENERAL: /s/ C. G. Helmick C. G. HELMICK Brigadier General, United States Army Deputy Military Governor <첨부문서> 제7호 : 투표용지 인쇄 지시(1948. 4. 7) Emergency Electric Power Board Seoul, Korea EMERGENCY ELECTRIC POWER ORDER NO. 6 7 April 1948 1. During the period 14 April 1948 through 10 May 1948 the use of electric power by printing establishments designated by the Chief Civil Affairs Officers in their respective provinces to print ballots for use in the coming election will be in Priority I. 2. Chief Civil Affairs Officers are directed to notify the representatives of the Electric Power Company of the establishments engaged in printing ballots as soon as practicable. EMERGENCY ELECTRIC POWER BOARD /s/ A. C. WALKER A. C. WALKER Chairman <첨부문서> 제9호 : 선거관련 물자(1948. 4. 29) QUANTITIES OF MATERIALS PROCURED, MANUFACTURED, IMPORTED OR PRINTED AND DELIVERED TO PROVINCES Province Ballot Boxes Locks for Ballot Boxes Registration Poll Registration Three Issues Elec. Laws Elec. Rules SEOUL 750 1,740 686,000 329,000 17,000 17,000 KYUNGGI DO 1,672 3,344 1,493,000 840,000 27,940 27,940 KANG WON DO 802 1,604 706,000 103,000 12,410 12,410 KYONGSANG PUKTO 2,485 4,906 1,908,000 581,000 34,910 34,910 KYONGSANG NAMDO 1,825 3,638 1,912,000 582,000 34,770 34,770 PUKTO CHOLLA 1,700 3,370 1,211,000 402,000 22,385 22,385 NAMDO CHOLLA [illegible] 1,900 3,760 1,768,000 567,000 32,410 32,410 PUKTO CHUNG CHONG 810 1,582 719,000 242,000 12,530 12,530 NAMDO CHUNG [illegible] 1,560 3,120 1,146,000 390,000 21,225 21,225 CHEJU DO MAT'L ELEC- 225 450 167,000 17,000 3,045 3,045 TION COMM. 5,000 5,000 DEPT. OF EDUCATION 6,000 6,000 TOTAL 13,729 27,514 11,716,000 4,053,000 229,625 229,625 | Province | Station-ery Tablets, Tissue | Station-ery Tablets, Bond | Enve-lopes, Large | Enve-lopes, Small | Elec. Sche-dule | Women's Bureau Eight Items | Digest Laws | |---|---|---|---|---|---|---|---| | SEOUL | 250 | 764 | 21,000 | 38,800 | 2,300 | 830 | 1,000 | | KYUNGGI DO | 390 | 1,679 | 47,500 | 87,700 | 5,400 | 930 | 3,000 | | KANG WON DO | 150 | 714 | 22,800 | 42,000 | 2,400 | 830 | 1,000 | | KYONGSANG PUKTO | 610 | 2,054 | 70,800 | 130,800 | 7,200 | 930 | 3,000 | | KYONGSANG NAMDO | 610 | 2,064 | 51,700 | 95,600 | 6,900 | 930 | 3,000 | | CHOLLA PUKTO | 300 | 1,379 | 43,800 | 80,900 | 5,300 | 830 | 2,000 | | CHOLLA NAMDO | 1,450 | 1,989 | 53,500 | 98,800 | 5,300 | 930 | 3,000 | | CHUNGCHONG PUKTO | 150 | 714 | 22,500 | 41,500 | 2,500 | 830 | 1,000 | | CHUNGCHONG NAMDO | 300 | 1,234 | 44,000 | 81,300 | 4,200 | 950 | 2,000 | | CHEJU DO | 70 | 171 | 6,400 | 11,600 | 600 | 170 | 300 | | NAT'L ELEC COMMITTEE | 540 | 500 | | | | | | | DEPT. OF EDUCATION | | | | | | | | | TOTAL | 3,850 | 13,265 | 384,000 | 709,000 | 42,100 | 8,160 | 19,300 | | Province | Sample Ballots | Print-ing Instr. | Ballot Paper (Rms.) | Ballot Envelopes | Ink (gal) | Date Completed | 26-29 Apr Colored Pencils | |---|---|---|---|---|---|---|---| | SEOUL | 100 ea. | 2 | 225 | 630,000 | | 5 Apr 48 | 2,211 | | KYUNGGI DO | 200 ea. | 2 | 208 | 1,252,000 | | 5 Apr 48 | 4,682 | | KANG WON DO | 120 ea. | 2 | 85 | 530,000 | | 10 Apr 48 | 1,965 | | KYONG SANG PUKTO | 330 ea. | 2 | 220 | 1,350,000 | | 10 Apr 48 | 4,216 | | KYONG SANG NAMDO | 330 ea. | 2 | 220 | 1,450,000 | 25 | 10 Apr 48 | 4,000 | | CHOLLA PUKTO | 220 ea. | 2 | 140 | 890,000 | 15 | 10 Apr 48 | 4,608 | | CHOLLA NAMDO | 290 ea. | 2 | 203 | 1,350,000 | 25 | 10 Apr 48 | 5,625 | | CHUNGCHONG PUKTO | 120 ea. | 2 | 77 | 510,000 | | 10 Apr 48 | 2,361 | | CHUNGCHONG NAMDO | 190 ea. | 2 | 180 | 875,000 | 15 | 10 Apr 48 | 2,710 | | CHEJU DO | 30 ea. | 2 | 19 | 100,000 | | 10 Apr 48 | 444 | | NAT'L ELEC COMMITTEE | | 2 | | | | 1 Apr 48 | | | DEPT OF EDUCATION | | | | | | 1 Apr 48 | | | TOTAL | 2,020 | 22 | 1,577 | 8,937,000 | 80 | | 32,822 | [Table] | | 26-29 April Bond Pads 100 shts. | Election Pamphlet "Things to Know" | Election Posters | | |---|---|---|---|---| | [illegible] | 6,000 | 500 | 100 | | | KYONGSOI DO | 15,000 | 500 | 100 | | | SARN WON DO | 6,000 | 500 | 100 | | | KYONG SANG PUKTO | 20,000 | 500 | 100 | | | KYONG SANG NAMDO | 20,000 | 500 | 100 | | | [illegible] PUKTO | 15,000 | 500 | 100 | | | [illegible] NAMDO | 17,000 | 500 | 100 | | | [illegible] CHONG [illegible] | 6,000 | 500 | 100 | | | CHONG CHONG NAMDO | 12,000 | 500 | 100 | | | CHEJU DO | 2,000 | 500 | 100 | | | TOTAL | 119,000 | 5,000 | 1,000 | | <첨부문서> 제36호 : 미군 요원이 감시한 선거절차(1948. 4. 1) HEADQUARTERS UNITED STATES ARMY MILITARY GOVERNMENT IN KOREA APO 235 Unit 2 1 April 1948 SUBJECT: Election Procedure Observation by American Personnel. TO : All CCAO's 1. Each CCAO will be directly responsible for maintaining constant observation of election procedures within his jurisdiction. This observation will be in two phases. a. Phase I - Pre-election Observations (1) The CCAO's, by use of presently available officer and equivalent grade DAC personnel, will maintain constant observation of the following: (a) Dissemination of election information to the public. (b) Conduct of parties, groups, youth organizations, etc., who participate in election, to include electioneer- ing methods, programs and platforms, any intimidation of electorate, (c) Same as (b) but as applied to those who oppose the election. (d) Operation of Voting District, Myun, Gun, Electoral District and Provincial Election Committee. (Reference Chapter IV, Regulations for Implementing the Law.) (e) Continuous check of registration procedure during prescribed period to include all echelons listed in (c) [illegible] (Reference Sections 15 & 16 of Election Law). (f) Immediately after Registration period, check for implementation of Sections 16 & 17 of the Election Law. b. Phase T - Election Day and Ballot Tabulation (1) Each CCAO, by use of presently available officer and equivalent grade EAC personnel, plus additional personnel to be furnished by CG, USAMGIK, will maintain the following: (a) Two observers in each Electoral District to separately spot-check voting districts throughout the Electoral District. (Reference: Sections 30-40 of the Election Law.) (b) One observer with each Provincial Election [illegible]mpitter (Reference: Sections 30-40 of the Election Law.) (2) The same observers as in b. (1) (a) will report to the Electoral District Headquarters at the close of election and will observe the opening of the ballot boxes, the tabulation of ballots, etc. (Reference: Sections 41-46 of the Election Law). 2. Every effort will be made to visit each voting district within your province at some time during Phases I and II listed in par 1 above. IMMEDIATE ACTION [illegible] An accurate chronological Provincial log of all observa-[illegible] be maintained. [illegible] logs will be consolidated at Provincial [illegible] will be forwarded to USAMGIK, on call, after the election. [illegible] [illegible] It is directed that American personnel DO NOT interfere with the operation of election procedures. In the event of viola-tions of the law and/or the regulations, the violation and/or re[illegible] [illegible] shall be called to the attention of the chairman(s) [illegible] representative) of the election committee concerned. A report of such violation, etc. will be made to the next higher election committee and to the CCAO concerned. [illegible] /s/ W. F. Dean W. F. DEAN Maj. General, United States Army Commanding <첨부문서> 제46호 : 군정장의 제주도서기 감시(1948. 5. 10) SOUTH KOREAN INTERIM GOVERNMENT Department of Communications Seoul, Korea GENERAL OBSERVATION OF MILITARY GOVERNMENT ELECTION OBSERVATION TEAM Cheju Island By Captain Speer, Captain Taylor, and Lieutenant Bernheisel 1. In compliance with orders, Office of Chief Advisor, above-named officers departed Seoul 1000 5 May 1948 and arrived Cheju at 1500 same day. Area assignments were made by CCAO on 6 May. In accordance with plans made by local election officials, Cheju Island was divided into two Electoral Districts, one on the northern half of the Island and two on the southern half. 2. Lt Bernehisel was assigned Kuja Myun as his area of observation, and Capt Keily of the 59th Military Government Co was assigned Chochan Myun, both being in the northeastern part of the Island. On 7 May these two officers spent the entire day visiting local voting places within their respective areas. Ballots were delivered to the respective Myun Offices. Pre-election observations in the two Myuns represented a marked contrast to one another. The Myun Chief, Chochan Myun, appeared to be in a hopelessly confused state of mind as to proscribed pre-election procedures. It appeared that he had done nothing to organize his Myun. Later developments and subsequent information gathered brought to light reasons for prevailing conditions in this area. In brief, this Myun appeared to be completely dominated by subversive elements of the population. On the evening preceding the election anti-election handbills had been widely distributed in many areas of the Myun. Road blocks had been erected, and telephone lines had been torn down in numerous places. Election day resulted in a zero score for this myun. On the other hand, Kuja Myun, directly to the East had been excellently organized for Election Day. A spot check of numerous voting places and conversations with local election committees revealed an air of absolute confidence in the successful outcome of the voting on 10 May. The Myun chief had done a remarkably find piece of work and was confident of the successful fulfillment of election procedure in his area. Certain occurrences in and around voting place number eight (Kua Myun), located off the main road back in the hills, on the evening preceding election day marred what otherwise would have been a perfect voting record for the entire Myun. Here a number of houses were burned and two people were reported killed. The ballot box however had been well hidden and was not destroyed, but there was no voting here on 10 May. 3. To recapitulate the pre-election phase in Kuja Myun represented a compliance with all conditions prescribed by REGULATIONS FOR IMPLEMENTING THELAW FOR THE ELECTION OF REPRESENTATIVES OF THE KOREAN PEOPLE: (1) Election information appeared to have been widely disseminated. (2) Ballots and ballot boxes had been distributed in ample time before election day. (3) The home guard had been well organized and throughout it stood by to assist the police in preserving order, but conditions were such that this group did not have to engage in anything but peaceful activities. (4) Posters were prominently displayed and in most cases pictures of candidates were posted in each voting place. However, an almost complete lack of the above conditions characterized the pre-election phase in Chochan Myun for reasons mentioned above. <첨부문서> 제46A호 : 제주도 선거감시 보고(1948. 5. 15) 'REPORT OF ELECTION OBSERVATION - 'CHEJU DO 1. The undersigned arrived Cheju-Do at 1500, 5 May 1948 for the purpose of observing the general election to be held 10 May 1948. 2. The Chief Civil Affairs Officer made the assignments of voting districts on 6 May 1948. The Myuns of Aewol, Hanrim and Chuja being assigned to Captain Speer, the reporting officer. 3. On 7 May 1948 a visit was made to the Myuns of Aewol and Hanrim and the following was observed: a. Approximately five miles west of Cheju a large roadblock was encountered and cleared for passage of vehicles. b. About one half mile further along the route another roadblock, smaller than the first, was encountered. Many subversive handbills were found pasted to rocks and scattered in the area. Some of those bills were picked up and subsequently turned over to the local Civil Affairs officers. After clearing the roadblock, the inspection trip was resumed. The two villages immediately following the roadblocks were found to be deserted, the inhabitants having fled into the hills. At the following village, a small police detachment reported that they were being fired on by snipers. The inhabitants of this village remained in their homes. No further roadblocks were encountered but handbills were noticed at various points along the route. The village of Aewol was found to be almost normal as both police and Constabulary were in the town. The Voting Committee reported all ballot boxes had been received and would be distributed Sunday 9 May 1948. Arrangements were made with local police and Constabulary for safekeeping of ballots to be brought the next day, 8 May 1948. The visit to Hanrim Myun was uneventful and they reported no subversive activities. 4. On 8 May 1948 the ballots, pencils, posters and other necessary papers were packaged for delivery to the Voting District Committees. Roadblocks and handbills were again encountered and the police reported harassing rifle and machine-gun fire. No difficulties were encountered and ballots were delivered to the Committees at Aewol and Hanrim. The ballots for Chuja Myun were delivered by Coast Guard cutter directly from Cheju, however, they would be returned to Hanrim Myun for counting. 5. 9 May 1948 a visit was made to Aewol and Hanrim Myuns to check on distribution of ballot boxes and ballots. All ballots and boxes for unprotected villages directly to the east of Aewol were returned to the Voting Committee as all inhabitants had been driven into the hills by subversive elements. In the immedicinity of Aewol and in villages having police detachments [illegible] constabulary, the distribution of ballot boxes and ballots proceeded normally. 6. 10 May 1948 balloting commenced at scheduled time, however, only 32% of registered voters cast their vote in Aewol. [illegible] in Myun cast a much higher percentage of votes [illegible] some [illegible] the total registered. Three voting places were visited in [illegible] of Aewol and two in Hanrim [illegible] Balloting was [illegible] [illegible] ures were being conducted per instructions given the [illegible]. No loitering, electioneering or molesting of voters was observed. Voting places closed at the specified times and [illegible] were immediately dispatched to the Central Committee [illegible] for counting. Counting commenced upon receipt of local Hanrim and continued all during the night. The ballot [illegible] Myun work [illegible] ted to Hanrim [illegible] by Coast [illegible] arrived approximately 11000 [illegible] May 1948. They <첨부문서> 제46B호 : 제주도 서거잠사 보고(1948. 5. 10) GO KOREAN INTERIM GOVERNMENT Department of Communications Seoul, Korea REPORT ON ELECTION OBSERVATION - CHEJU DO By Captain Herbert W. Taylor 1. Lieutenant George Wibel, Lieutenant William Sabotay and the reporting officer were assigned the South Gun of Cheju-Do as their area of observation of the elections to be held on 10 May 1948. To carry out this mission, two vehicles, a jeep and a 3/4 ton trucks, two drivers and three interpreters were assigned. 2. The plan called for this group being divided into two teams. Team No. 1 consisted o Lt. Sabotay, driver and interpreter in the jeep, taking the western route around the Island and the other team, Team No. 2, consisting of Lt. Wibel, myself, driver and interpreter, taking the eastern route and distributing ballots to various Gun headquarters enroute. Team No. 2 was to set up headquarters at SagwiPo and Team No. 1, prior to and during the election would set up headquarters at MosulPo and join Team No. 2 at SagwiPo on the evening of the day of election, after ballot boxes had been turned in. 3. At 0830 hours on 8 May 1948, both teams departed as planned. At 1330 on 8 May 1948, Team No. 2 arrived at SagwiPo and billeted at a local hotel. The ballots had been distributed and no trouble was reported nor was any trouble anticipated during the election period by the election officials in the Gun headquarters we had visited. All ballots, pencils, papers, etc., had been distributed as planned. 4. On 9 May 1948, Lt. Wibel made visits to various election headquarters in surrounding areas. Reporting officer remained at headquarters. No trouble was reported during that day. 5. On 10 May 1948, due to the shortage of transportation, one vehicle only being available, Lieutenant Wibel departed at 0630 for a tour of polling districts outside of immediate SagwiPo area. The reporting officer, at the same time, departed for observation [illegible] dispatched by jeep, accompanied by a member of [illegible] Committee, to Hanrim Central Committee. All counting [illegible] was completed by 2000 11 May 1948 and a report was [illegible] the Central Committee at Cheju. [illegible] On 12 May 1948 a visit was made to Hanrim for the purpose of returning all ballots to the Central Committee in Cheju for [illegible] During this visit, roadblocks were again encountered but [illegible] noted that the villagers to the east of Newol were return- [illegible] their villages. When questioned about their whereabouts, [illegible] merely replied in the hills and would say nothing further. [illegible] No further visits were made to the Voting Districts of Cheju. Arrived Seoul, 1700, 15 May 1948. Captain T. J. SPEER tour of the two polling districts in SagwiPo proper. Polling district No. 1 was observed at 0650. Ballot boxes were examined by polling officials and were empty in accordance with regulations. The balloting started at 0700 and was conducted in accordance with regulations. Only one representative of candidates was present at that time. At 0730, reporting officer visited polling district No. 2 at SagwiPo and their election was conducted in accordance with regulations. As a matter of fact, this officer considers the election very well conducted at this place. During the remainder of the day, reporting officer visited between these two polling districts via foot, and no discrepancies were noted at either of these two polling districts during the day of the election. The other two representatives for candidates at polling district No. 2 reported in at 2230. HERBERT W. TAYLOR Captain Sig C <첨부문서> 제46C호 : 제주도 구좌면 서기활동 일지(1948. 5. 12) NO OF ELECTION ACTIVITIES Kuja Myun [illegible] Observers: Lt Bernhoisel [illegible] [illegible] This [illegible] outline of election day activities is characterized by an absence of unusual occurrences for reasons mentioned above. Total polling places were 16. Total visited 14. Total reported registrations 8,734, or 96% of the [illegible] voters. All voting reported to have commenced at 0700 hours. Voting completed in entire Myun by 1600 hours. (1) Arrived Kuja Myun at approximately 0930. Visited voting place number two at 0945. One hundred fifty had voted at time of visit. Reported registrations 687, or 98% of eligible voters. Everything normal. (2) 1000 hours visited number four. Registration 369 or 98%. Procedure normal. (3) 1010 hours visited number three. Reported registration 350 or 100%. No unusual occurrences. (4) 1030 hours visited number ten located at Sehwa (Myun office) 561 registered or 90%. 270 had voted at time of visit. Procedure normal. (5) 1050 hours. Visited number twelve. Reported registration 577 or 96%. 400 had voted at time of visit. No unusual occurrences. (6) 1100 hours reported registration 278 or 98%. 200 had voted at time of visit. Normal. (7) 1110 hours. Visited number fourteen. Registration 534 or 98%. 270 had voted at time of visit. Normal. (8) 1140 hours. Visited number sixteen. Registration 634, or 90%. 250 had voted at time of visit. Normal. (9) Remaining five voting places were visited in due course. No unusual occurrences at time of visit. Voting places number 17 and 18 were located on a small island off Cheju and consequently were not visited. A report on occurrences at number 8 voting place was received just before noon. Observer broke his trip through the Myun to report back to Cheju in order to get help. Police were subsequently dispatched to scene of trouble which had occurred the previous evening. (10) Considerable uneasiness was displayed by local election committees at the end of the voting on the afternoon of the 10th. Reported threats of trouble from the outside caused them to fear for the safety of ballot boxes. Previous arrangements had been made with the constabulary by Cheju Do officials to have the ballot boxes picked up as soon as possible after voting was completed. Observer promised to do what he could to have them picked up. On the morning of the 11th he accompanied a truck from MG Company headquarters to pick up ballot boxes, but on the way into Kuja Myun. a constabulary truck was met carrying all ballot boxes into Election headquarters in Cheju City. (11) During the afternoon of the 11th and on the 12th of May this observer assisted in observing the counting of ballots of the three voting districts: Cheju Eup, Chochan Myun, and Kuja Myun. After considerable delay, brought about no doubt by uncertainty as to just how to proceed, committee officials proceeded in a systematic fashion to count the ballots. Except for some oral interference on the part of candidate representatives and others this phase of the election procedure was completed in a normal fashion. Charles K. Fernheisel, DAC Hq, USAMGIK <첨부문서> 제47호 : 시기철호(1948. 6. 11) SOUTH KOREAN INTERIM GOVERNMENT Office of the Chief Advisor Seoul, Korea MGOCA 000 [illegible] 11 June 1948 SUBJECT: Election Activities. [illegible] TO: Commanding General United States Army Military Government in Korea APO 235 Unit 2 Attention: General J. Weckerling 1. On 8 March 1948 this office was interjected into the election picture by an IOM from the Military Governor. This IOM called for immediate action toward necessary preliminary steps to implement existing election directives. 2. Radio and phone messages were immediately dispatched to all provinces calling for a meeting of the Chief Civil Affairs Officers, Korean Governors and District Court Judges at 0900, 12 March 1948, in Seoul at Headquarters, USAMGIK. 3. a. 12 March meeting held as scheduled. b. From 8 March to 12 March those portions of the Elec- tion Law approved by the UN were hastily mimeographed in English and Korean for distribution at the 12 March meeting. c. Arrangements were made for special train and air transport of the Chief Civil Affairs Officers and the Korean Governors to their home stations during the afternoon of 12 March. 4. Intermittent conferences were held with the National Election Committee, the Office of Administration and this office relative to an election budget. On 5 April a compromise budget was approved by the Military Governor. 5. Many conferences were held with personnel of Gen. Weckerling's office and representatives of the United Nations between 8 March and 17 March relative to final approval of an election law. The law was finally approved and signed on 17 March 1948. During this period arrangements were made with the office of Administration for the hasty printing in Korean of the Election Law and the Rules and Regulations. Also, plans were made for rapid distribution of these vital documents to the lowest echelon. It was agreed that the copies in English would be mimeographed. Necessary arrangements for this were made with AG, USAMGIK, who rendered superior service at this time. Plans were coordinated with the ffice of Administration for the printing and distribution .r registration forms and poll registers. 6. On 31 March 1948 memorandum was prepared for the Military Governor's approval, "Election Procedure Observation by American Personnel". This was approved, published and distributed on 1 April 1948. 7. During the period 30 March through 9 April, this office furnished speakers to instruct meetings, called by various SKIG agencies, in the requirements of the election law. 8. On 5 April arrangements were made for the publishing and distribution of executive order No. 20, changing the date of the election from 9 May 1948 to 10 May 1948. [illegible] on 27 March 1948, a meeting was held at Hq, USAFIK for the purpose of coordinating various U.S. agencies concerned with this contemplated UN Observation Groups' trips throughout South [illegible] The real burden of these trips fell upon the Department of Transportation, SKIG, and it can be said that they came through with flying colors. This office was charged with the necessary coordination and issued required instructions to the various provinces and agencies. The United Nations Observation groups made two trips to the Provinces, one from 5 April through 10 April, the other 19 April through 24 April. Similar instructions pre- vailed for both trips, to wit: complete freedom of movement, best available quarters and facilities, no formal receptions or enter- tainment, required transportation to be furnished on call, etc. Reports received from the UN upon their return and from the Provinces were most favorable. 10. Registration started on 30 March 1948. At this time preliminary plans were coordinated for the printing and distri-. bution of ballots and the final distribution of ballot boxes and books to the lowest echelons. Everything called for in this vital phase was completed by 7 May 1948. The Office of Administration, SKIG, is to be commended for their superior performance. 11. Throughout the whole period from 8 March to 10 May, Election Day, the various SKIG agencies concerned were contacted regularly and informal progress reports received almost daily. 12. The Military Governor's plan for American observation of the election required 411 Americans. Of that number approximately 200, were already located in the various Provinces. All departments and agencies of the South Korean Interim Government were required to furnish the balance (211) of American personnel needed on a percentage basis in direct ratio to American personnel assigned to them. An orientation meeting of this personnel was held at USAMGIK on 26 April 1948. At this meeting the Election Law was explained and a detailed description of their duties given. On 3 May 1948, a final meeting of the personnel selected for election duties was held. Arrangements for their transportation, issue of field equipment and early morning mess prior to departure were explained. Copies of travel orders and the pertinent parts of the Election Law and the Rules and Regulations were issued to each observer. Also a check list and a question sheet mimeographed in both Korean and English were issued each observer as a guide and help to the expected language difficulties. 13. 4 May through 9 May: The preparation of orders for UN Election Observers and the coordination of their billeting, transportation and actual observation was predominant throughout this period. The actual movement of American and UN observers took place concurrently. 14. From Election Day through the 17th of May this office was chiefly concerned with receiving election results from the Provinces and making them available to Department of Public Informatic for release to the many foreign correspondents present for this period. 15. Throughout the whole election phase, this office was responsible for coordination of the activities of the many SKIG agencies concerned. Lt Col Charles G. Duffy was designated as Liaison Officer between the Military Governor and the National Election Committee, assisted by Captain James McMahon, he was also given full responsibility for Military-Government coordination and implementation of all phases of the elections. The wholehearted cooperation and all-out enthusiasm on all agencies for USAMGIK and SKIG made a huge success of what at first seemed an impossible job within the prescribed time limits. /s/ Wm. F. Centner Wm. F. CENTNER Colonel [illegible] USAR [illegible] [illegible] <첨부문서> 제48호 : 시기반대 활동표(1948. 5. 14) CRIMINAL INFORMATION-INTELLIGENCE SECTION DETECTIVE BUREAU OF THE NATIONAL POLICE HEADQUARTERS TABLE OF ANTI-ELECTION ACTIVITIES, 7 FEBRUARY TO 14 MAY 1948 | Classification | DIV | DM | DA | DB | DC | DD | DB | DF | DG | DH | DI | Total | |---|---|---|---|---|---|---|---|---|---|---|---|---| | Election offices, attacked | | 24 | 14 | 2 | 11 | 10 | 42 | | 6 | 14 | 10 | [illegible] | | Public institutions, attacked | Suppressed | 3 | 7 | 8 | 6 | | 56 | 39 | 45 | 28 | 27 | [illegible] | | | Prevented | | 7 | 5 | 4 | 2 | | 3 | 15 | 6 | 9 | [illegible] | | Police attacked | Killed | 2 | 14 | 4 | 2 | | 29 | 4 | 1 | 14 | 20 | 72 | | | Wounded | 1 | | | | 3 | 11 | | 1 | 3 | 4 | 15 | | | | 7 | 2 | | 5 | 13 | 3 | 1 | 1 | 10 | | 61 | | Election officials | Killed | | | | | 1 | 19 | | 4 | | | 2 | | | Wounded | | | | 3 | | 1 | 1 | | | | 4 | | Candidates | Killed | | 1 | | 1 | | | 3 | 13 | 6 | 12 | 49 | | | Wounded | | | | | | | | | | | | | Police | Killed | 3 | 1 | 9 | 9 | | 12 | 9 | 34 | 14 | 25 | 128 | | | Wounded | | 3 | 1 | | 1 | 22 | 2 | 1 | 1 | 1 | 11 | | Rightists | Killed | | | | | | 5 | 1 | 1 | 6 | 9 | 47 | | | Wounded | | 4 | | | | 25 | 1 | 1 | | 6 | 7 | | Families of Police | Killed | | | | | | | | | | | | | | Wounded | 1 | 1 | 2 | | 2 | 2 | 5 | 1 | 4 | 3 | 16 | | Bystanders | Killed | 2 | 2 | 2 | | 2 | 29 | 2 | 6 | 20 | 42 | [illegible] | | | Wounded | 15 | 12 | 8 | 32 | [illegible] | 142 | 21 | 36 | 50 | 60 | [illegible] | | | DM | DA | DB | DC | DD | DR | DF | DG | DH | DJ | DK | DR | Total | |---|---|---|---|---|---|---|---|---|---|---|---|---|---| | Rioters | | | | | | | | | | | | | | | Killed | 3 | 16 | 6 | 4 | | 53 | 27 | 36 | 58 | 59 | | 26 | | | Wounded | | 4 | | 3 | 8 | 35 | 19 | 29 | 27 | 11 | | 12 | | | Election offices | | 2 | | 3 | 4 | 12 | 1 | | 4 | 1 | | | | | Election facilities | 1 | | | | | | | | 1 | | | -32 | | | Police offices | | 1 | 2 | 1 | | 4 | 2 | | 2 | 4 | 3 | 5 | | | Public offices | | 1 | 2 | 2 | | 3 | | 2 | 2 | 3 | | 16 | | | People's residences | | 2 | 11 | 27 | 7 | 32 | 3 | 1 | 36 | 42 | 3 | 18 | | | Election facilities | 4 | 4 | 2 | 4 | 3 | 3 | 1 | 18 | 2 | 3 | | 152 | | | Police offices | 1 | | 1 | | | | 5 | 4 | | | | 41 | | | Public offices | | | | 1 | | 4 | | 5 | 6 | 3 | 1 | 12 | | | Private residences | 2 | 2 | | 1 | 5 | 38 | 1 | 1 | 6 | 12 | | 22 | | | Roads and Bridges | | 2 | 2 | 4 | | 5 | 5 | 5 | 18 | 10 | 1 | 69 | | | Rifles: | | | | | | 14 | 5 | 26 | 6 | 4 | 1 | 48 | | | Stolen | | | | 10 | | 11 | 5 | 25 | 4 | 3 | | 68 | | | Recaptured | | | | 10 | | | | | | | 2 | 58 | | | Carbines: | | 6 | 2 | 1 | | 11 | 2 | 8 | 11 | 7 | | 50 | | | Stolen | | | | 1 | | 6 | 2 | 7 | 2 | 1 | | 19 | | | Recaptured | | | | 1 | | 1 | | | 1 | | | 2 | | | Pistols: | | | | | | 1 | | | 1 | | | 2 | | | Ammunitions:Stolen | | 67 | 20 | 10 | | 243 | 40 | 521 | 421 | 117 | 10 | 1,419 | | | Recaptured | | | | 10 | | 297 | 7 | 183 | 196 | 117 | | 810 | | | | DM | DA | DB | DG | DD | DR | DR | DV | DR | DR | [illegible] | [illegible] | |---|---|---|---|---|---|---|---|---|---|---|---|---| | Locomotives | | | | | | | | | | | | | | Railroad car and freight car | | | | | | | | | | | | | | Trains | | | | | | | | | | | | | | Telephone lines cut | 4 | 61 | 45 | 82 | 19 | 1 | 2 | 1 | 46 | 57 | 46 | 39 | | Telephone and telegraph poles destroyed | | 52 | 10 | 37 | 8 | 116 | 55 | 26 | 4 | 24 | 180 | 7 | 76 | | Communication tools damaged | 5 | | | | | | | | 4 | | | 5 | | Power lines cut | | | 10 | | | | | | | | | | | Election documents stolen | 12 | 4 | 2 | 10 | 9 | 36 | 3 | 1 | 26 | 13 | 116 | | Election officials threatened | 2 | | | 12 | 3 | 28 | 1 | 15 | 6 | 6 | 73 | | Candidates threatened | 1 | 1 | | 7 | 4 | 1 | 5 | 5 | | | 24 | | Strikes against election | 3 | 11 | 2 | 2 | | 9 | 8 | | 4 | | 5 | 44 | | School strike against election | 7 | 1 | 2 | 1 | 2 | 27 | 4 | 6 | 24 | 1 | 75 | | Demonstrations against election | 8 | 10 | 5 | 11 | 3 | 111 | 9 | 49 | 12 | 23 | 241 | | Spreading of handbills | 1 | 15 | 33 | 60 | 8 | 84 | 16 | 30 | 15 | 13 | 275 | | Illegal-fires | 22 | 30 | 54 | 149 | 63 | 290 | 154 | 45 | 10 | 51 | 5 | 877 | <첨부문서> 제50호 : 유엔한국임시위원단의 선거감시반 결성(1948. 3. 27) A/AC.19/W.42 27 March 1948 ORIGINAL:ENGLISH UNITED NATIONS TEMPORARY COMMISSION ON KOREA TIME TABLE AND FACILITIES FOR OBSERVATION CLUBS (Prepared by the Secretariat) At its twenty-seventh meeting, the Commission decided that the conduct of the elections should be observed in each of the provinces (including the islands of Cheju-Do and Wool Lyong Po, if practicable) and during the most significant stages of the elections. (document A/AC.19/56). The Commission further decided to establish in the first instance two or three Field Observation Groups to observe the conduct of the elections in selected areas in accordance with a coordinated plan. ANNEX I TRAIN ITINERARY FOR UNITED NATIONS OBSERVATION GROUPS GROUP I (Main Committee) 1. City of Seoul . . . . . . . . . . . Monday, 5 April 2 Kaesong - Kyonggi-Do Approximately 1 1/2 hours from Seoul. Self-powered car. Leave in morning and return in evening . . . . . . . Tuesday, 6 April 3. Inchon - Kyonggi-Do Approximately 1 1/4 hours by auto from Seoul. United Nations transportation. . . Wednesday, 7 April 4. Chunchon* - Kangwon-Do Approximately 2 hours from Seoul. Self-powered car. Leave in morning and return in evening . . . . . . . Thursday, 8 April 5. Cheju* - Cheju-Do Approximately 2 1/2 hours by PLANE from Seoul. Leave Seoul . . . . . . . Friday morning. 9 April Return . . . . . . . . . . . . Saturday afternoon, 10 April The above itinerary will enable the group to visit two provincial capitals and the city of Seoul, and two important towns in Kyonggi Province (Inchon and Kaesong). Only one night, 9 April, will be spent away from Seoul. * Provincial capital ANNEX II 25 March 1948 TO: Brigadier General John Weckerling United States Army Liaison FROM: Petrus J. Schmidt Principal Secretary SUBJECT: Transportation and other facilities for United Nations Observation Groups In connection with our joint discussion, I am transmitting herewith a schedule of trips developed by the Secretariat for the purpose of observing election procedures and practices during the week ending 10 April 1948. Observation Group No. 1 will use the self-powered motor car as specified in paragraph f. of your memorandum dated 23 March 1948. In addition, facilities for a noon meal should be arranged at Kaesong and Chunchon. The trip to Inchon will be made in United Nations vehicles and here also a noon meal should be provided. The trip to Cheju-Do must of necessity be by plane and all necessary facilities for food and billeting should be provided. Observation Group No. 2 will use one compartment sleeper and one dining car as specified in paragraphs c. and d. of your memorandum. These cars would be attached to regularly scheduled trains as specified in the attached timetable and would be held at the station during lay-over periods. It will be necessary to have a proper mess provided on the diner, sufficient for a five or a day trip, and it will also be necessary that billets be made available during overnight stays so that both male and female members of the observation groups may have bath facilities. Observation Group No. 3 will need the same type facilities as specified for Observation Group No. 2. <첨부문서> 제151호 : 감시반 조직과 여정(1948. 4. 16) RESTRICTED A/AC.19/W.42/Add.5 16 April 1948 ORIGINAL: ENGLISH UNITED NATIONS TEMPORARY COMMISSION ON KOREA REVISED ORGANIZATION AND TRAVEL ITINERARY OF OBSERVATION GROUPS (Week ending 24 April 1948) (Adopted by the Main Committee at its Third Meeting) The following revised plan for the observation of the election programme during the week ending 24 April 1948 is circulated herewith for the guidance of observation groups. I. Organization GROUP I (Main Committee) Representatives Secretariat Mr. Liu Yu-Wan (China) Mr. F.J.Schmidt (Principal Secretary) Mr. T. Seutu (China) Mr. J. Engers (Secretary) Mr. M.A.P.Valle (El Salvador) Mr. A. Blokh (Precis Writer) Mr. H. Costilhes (France) Mr. G. Globa (Precis Writer) Mr. R. Luna (Philippines) Miss I. Glance (Secretary-Typist) GROUP II Representatives Secretariat Mr. G. Patterson (Canada) Mr. R.S.Hausner (Secretary) Mr. Wang Gung-Hsing (China) Mr. C.Campbell (Irecis-Writer) Mr. H. Lindo (El Salvador) Miss M.Allard (Secretary-Typist) Mr. Hurh, Hyun (Interpreter) GROUP III Representatives Secretariat Mr. O. Manet (France) . Mr. G. Lucas (Secretary) Mr. B. Singh (India) Mr. A.Balinski (Irecis Writer) Mr. Y. Maghir (Syria) Miss A.Smith (Secretary-Typist) Mr. Shin (Interpreter) GROUP IV Representatives Secretariat Mr. S.H. Jackson (Australia) Mr. I. Milner (Secretary) Mr. J.L. Paul-Boncour (France) Miss M.Montague (Irecis Writer) Miss J.Stioren (Secretary-Typist) <첨부문서> 제52호 : 감시반 조직과 여행일정(1948. 5. 3) A/AC.19/W.42/Add.6/Rev.1 3 May 1948 ORIGINAL: ENGLISH UNITED NATIONS TEMPORARY COMMISSION ON KOREA ORGANIZATION AND TRAVEL ITINERARY OF OBSERVATION GROUPS (Period 7-11 May 1948) (Adopted by the Main Committee at its Sixth Meeting) The following revised plan for the observation of the election programme during the period 7 to 11 May 1948 is circulated herewith for the guidance of Observation Groups. The Main Committee agreed that the period of observation be extended for an additional day beyond the time schedule given below should any Observation Group consider it advisable to do so. I. Organization Group Locality Representatives Secretariat* 1 City of Seoul Mr. Liu Yu-Wan (China) Mr.F.J.Schmidt (Main Seoul, Kyonggi-Do Mr. M.Valle (El Salvador) Mr.I.Milner Committee) Chunchon, Kangwon-Do Mr. M.Barthelemy (France) Mr.J.F.Engers Mr. R.Luna (Philippines) Miss Murier Mr. Y.Mughir (Syria) Montague 2 Chongju, Chungchong Fukto Mr.G.Patterson (Canada) Mr.C.Campbell 3 Taejon, Chungchang Namdo Mr. B.Singh (India) Mr.G.J.Lucas 4 Chenju, Cholla Fukto Mr. T.Ssutu (China) Mr.A.Polinski Mr. Tang Gung-Hsing China) 5 Kwangju, Cholla Namdo Mr. H.Lindo (El Salvador) Mr. H.Liao 6 Taegu, Kyongsang Fukto Mr.O.Manet (France) Mr.A.Blokh 7 Pusan, Kyongsung Namdo Mr.S.Jackson (Australia) Mr.A.Gottesman Miss J.Stieren 8 Cheju, Cheju-Do Mr.H.Costilhes (France) Mr.G.Globa 9 East Coast Mr.J.L.Paul-Poncour Miss I.Michaux (France) * It is anticipated that a sufficient number of interpreters will be made available by the United States authorities in the Provinces in order to meet the Commission's requirements. II. Travel Itinerary* Group 8 1. Leave Secui (via auto) C800 Leave Kimpo airport (by air) 1000** Arrive Choju-Do 1200 2. Leave Cheju-Do (by air) 1300*** Arrive Kimpo airport 1500 Arrive Seoul 1615 Friday 7 May Tuesday 11 May Group 9 To be arranged by United States authorities. ** Scheduled flight. *** Special flight. <첨부문서> 제54호 : 제주도 선거결과 보고(1948. 5. 21) NATIONAL ELECTION COMMITTEE SEOUL, KOREA 21 May 1948 Maj. Gen. William F. Dean, U.S. Army. Military Governor, USAMGIK Capitol Building Seoul, Korea Dear Gen. Dean: Re: Reports on the return of the Gen. Election I report to you the new members of the National Assembly, elected on 10 May 1948 as per attached herewith. Also the resolution passed by the Committee on the North Che Ju Electoral District, A.B. I trust you will receive your due consideration and appropriate action. sincerely yours, RO CHIN SUL Chairman National Election Committee Seoul, Korea NATIONAL ELECTION COMMITTEE SEOUL, KOREA 19 May 1948 Maj. Gen. William F. Dean, U.S. Army Military Governor, USAMGIK Capitol Building Seoul, Korea Dear General Dean: Re the Invalidation of the Elections made in some Electoral Districts of Che Choo Do. I take pleasure in recommending you that the elections made in the Electora District A and the Electoral District B of Puk Che Choo shall be invalid in accordance with Section 44 of the Election Law for the following conditions: I. Electoral District A .... 73 Voting Districts Number of the voting district which the voting was made. 31 1. Number of the voting district which the voting could not be made. 2. Number of the registered voters. 27,560 Number of the voters which participated in the voting. 11,912 3. Elected Members First: Mr. Yang Ki-chin 3,647 votes Second: Mr. Kim Si-hak 3,479 " Third: Mr. Kim Choong-hee 2,147 " Fourth: Mr. Moon Dai-u 1,693 " II. Electoral District B .... 61 Voting Districts 1. Number of the voting districts which the voting was made. 32 Number of the voting districts which the voting could not be made. 29 2. Number of the registered voters. 20,917 I [illegible] Number of the voters who participated in the voting 9,724 3. Elected Members [illegible] First [illegible] Mr. Yang Byung-jik 3,774 votes Second : Mr. Park Jang-hee 3,190 " [illegible] Third [illegible] Mr. Kim Duk-joon 691 " I trust this will receive your due consideration and appropriate decision. Sincerely yours, RO CHIN SUL Chairman National Election Committee Seoul, Korea [illegible] OF THE [illegible] MEMBERS OF [illegible] [illegible] NATIONAL ASSEMBLY Electoral District Name Age Number of Votes Occupation Party of Affiliation 104 Che Joo Do Puk Che Joo Gun A Puk Che Joo Gun B Nam Che Joo Gun Oh Yong-kook 44 12,888 Member of KILA None <첨부서4> 제54A호 : 선거무효(1948. 5. 24) HEADQUARTERS UNITED STATES ARMY MILITARY GOVERNMENT IN KOREA APO 235 UNIT 2 24 May 1948 SUBJECT: Invalidation of the Flections TO: The National Election Committee Seoul, Korea 1. The elections in Electoral District "A" and Electoral District "B" of North Cheju Do held on May 10, 1948, under the Law for the Flection of Representatives for the Korean People issued March 17, 1948, are hereby declared null and void and of no effect. 2. It is hereby ordered that a new election take place in these two districts on June 23, 1948, in accordance with Section 44, of the aforesaid Law, under the provisions of said Law and under the supervision and control of the National Election Committee. 3. This decision to nullify these elections was arrived at after consultation with the National Flection Committee which took into consideration the fact that voting was held in less than fifty per cent of the voting districts of Electoral District "A" and Flectoral District "5" of North Cheju Do on May 10, 1948, due to activities and violence of subversive elements, Under these circumstances the election in Electoral District "A" and Flectoral District "B" of North Cheju Do on May 10,. 1948, cannot be considered a true expression of the will of the people. /s/ W. F. Dean W. F. DEAN Major General, United States Army Military Governor <첨부서4> 제55호 : 남한의 선거인 등록과 투표율(1948. 5) SOUTH KOREA - INTERIM GOVERNMENT Office of Administration Census Division Registration and Voting Data on National Election in South-Korea Total Total % of Act'l Reg- Possible Actual istrants Est.Pop. Regis- Regis- % Reg- Total Who 1 Apr 48 trants trants istered Voters Voted (000) (000) Seoul City 1,247 616 3/ 568,291 92.2 488,304 8/ 92.8 Kyonggi Do 2,575 1,269 4/1,385,470 85.4 981,638 8/ 96.6 Chungchong Pukto 1,147 565 461,885 81.8 444,632 96.3 Chungchong Namdo 1,932 982 794,392 80.9 760,694 95.8 Cholla Pukto 2,093 1,032 5/ 801,988 77.7 727,718 8/ 96.7 Cholla Namdo 3,058 1,598 6/1,106,397 73.3 908,879 8/ 93.6 Kyongsang Pukto 3,260 1,607 7/1,227,597 76.4 992,036 8/ 92.1 Kyongsang Namdo 3,300 1,627 1,287,890 79.2 1,242,750 96.5 Kang Won Do 1,167 575 467,554 81.3 458,038 98.0 Che Ju Do 1/ 108 53 37,040 69.8 32,062 86.6 Total South Korea 19,947 2/9,834 7,837,504 79.7 7,036,750 8/ 95.2 1/ Data are for Nam Cheju Gun only. 2/ Based on the percentage of 49.3 as derived from 1947 National Registration (7½ million sample), who are 21 years of age and over. 3/ Includes 1 electoral district which had 42,021 registrants and "no contest". 4/ Includes 2 electoral districts which had 68,755 registrants and "no contest". 5/ Includes 1 electoral district which had 49,149 registrants and "no contest". 6/ Includes 3 electoral districts which had 135,292 registrants and "no contest". 7/ Includes 5 electoral districts which had 150,405 registrants and "no contest". 8/ Percentage derived exclusive of "no contest" data.
출처: 제주4·3사건진상규명및희생자명예회복위원회 편, 『제주4·3사건자료집 9』 [미국자료편], 번역문 p.216 / 원문 p.460–497.